[拼音]:Telegen dingli
[外文]:Tellegen theorem
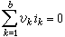
电路理论中的一个重要定理,说明两个拓扑结构相同的集总参数电路中各对应的电流、电压的乘积之和为零。1952年由B.H.特勒根提出。定理指出,若两个集总参数电路n和怾具有相同的有向图,且二者的支路电压和支路电流分别满足KVL和KCL(见基尔霍夫定律),则恒有
和
式中υk和ik分别是电路n的支路电压和支路电流,憕k和嫆k分别是电路怾的支路电压和支路电流,b为两个电路的支路数。两式中的支路电压υk、支路电流ik和支路电压憕k、支路电流嫆k也可以是同一电路 n中非同一状态下的两组电流、电压(各代表电路的一种工作状态)。式(1)和式(2)尚可写成
和
式中尓b和
b是两个电路的支路电压相量,嫟b和嫊b是两个电路的支路电流相量。显然,不管是在两个电路内,还是在同一电路中,乘积υk嫆k(或憕kik,K=1,2,…,n)虽具有功率的量纲,但并非真正的功率,习惯上称为似功率。所以式(1)和式(2)代表的只是一种数学关系。
将上列诸式中的憕k和嫆k换成υk和ik(即式中的支路电压和支路电流都用同一电路中同一个状态下的支路电压和支路电流)后,得
和
式(5)是式(1)或式(2)的特殊形式。它表达的是电路中的功率平衡。由此可见,特勒根定理包括了功率平衡定理。
如果所考虑的电路除了n个节点、b条支路外,尚有P个端口,则式(1)、(2)和式(5)可改写成
和
应用特勒根定理可以方便地证明电路理论中的许多定理,如互易定理、复功率平衡等。











