[拼音]:niandu
[外文]:viscosity
反映流体流动粘性阻力大小的指标。粘度一般分为动力粘度、运动粘度和条件粘度。粘度与压力和温度都有关系。
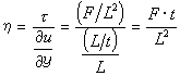
动力粘度流体流动的剪切阻力 τ与速度梯度
u/
y关系式中的比例常数η(见润滑)。如用F 代表力,L代表长度、t代表时间,则由牛顿内摩擦定律可求得动力粘度的量纲为

动力粘度的单位是Pa·s(帕·秒)。动力粘度曾用P(泊)作单位,1P=0.1Pa·s
运动粘度由上式可求得运动粘度的量纲为v=L2/t。运动粘度的单位为m2/s(米2/秒)。运动粘度曾用St(斯托克斯)作单位
1St=1cm2/s=10-4m2/s一般蒸馏水在 20℃时的动力粘度为1×10-3帕·秒(1cP),运动粘度为1×10-6米2/秒(1cSt)。20号机械油在 50℃的运动粘度为17×10-6~23×10-6米2/秒(17~23cSt),即其平均运动粘度 20×10-6米2/秒(20cSt)。空气的粘度约为 0.018cP。液体的运动粘度通常用毛细管粘度计测定。
条件粘度用各种标定粘度计测得的粘度。习用的条件粘度单位有恩氏度(°E)、赛氏通用秒(SUS)和雷氏秒(R)等。
粘度与压力的关系一般液体的动力粘度随压力p的升高而增大,粘度与压力的关系可近似表达为

式中 η0为大气压力下液体的动力粘度;α为粘度压力指数,取决于液体的性质;e为自然对数的底。此式一般用于计算油膜厚度,若用以计算油膜的摩擦阻力,其结果与实际出入较大,因后者必须进一步考虑油的流变性质,即从应力、应变、温度和时间几方面研究物质变形和流动的物理性质。
粘度与温度关系液体的动力粘度一般随温度的升高而降低,η 与绝对温度T(K)的关系通常可用以下经验公式表达
lgη=A+B/T式中A、B为取决于液体的常数。
参考文章
- 什么叫粘度?工业博览血粘度增高分几种类型,如何治疗?内科请写出五种常用的降粘度,降切力,降失水的钻井液材料?采矿冶炼孤东油田污水对聚合物粘度影响的探讨废水治理计算粘度温度系数对润滑油应用有什么意义?工业博览高血压病人检查血液粘度有什么意义?内科高粘度试油废水絮凝处理技术探索废水治理什么叫做粘度指数?工业博览计算润滑油的粘度指数有什么意义?工业博览什么叫油的粘度?电能技术



