题文
已知数列{an}是首项为a且公比q不等于1的等比数列,Sn是其前n项的和,a1,2a7,3a4成等差数列.(I)证明12S3,S6,S12﹣S6成等比数列;
(II)求和Tn=a1+2a4+3a7+…+na3n﹣2. 题型:未知 难度:其他题型
答案
(Ⅰ)证明:由a1,2a7,3a4成等差数列,得4a7=a1+3a4,即4aq6=a+3aq3.
变形得(4q3+1)(q3﹣1)=0,
又∵公比q不等于1
所以4q3+1=0
由


得

所以12S3,S6,S12﹣S6成等比数列.
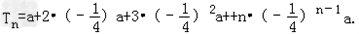
(Ⅱ)解:Tn=a1+2a4+3a7++na3n﹣2=a+2aq3+3aq6++naq 3(n﹣1).
即

①
①×

得:

=

所以

解析
该题暂无解析
考点
据考高分专家说,试题“已知数列{an}是首项为a且公比q.....”主要考查你对 [数列求和的其他方法(倒序相加,错位相减,裂项相加等) ]考点的理解。 数列求和的其他方法(倒序相加,错位相减,裂项相加等)数列求和的常用方法:
1.裂项相加法:数列中的项形如
的形式,可以把
表示为
,累加时抵消中间的许多项,从而求得数列的和;
2、错位相减法:源于等比数列前n项和公式的推导,对于形如
的数列,其中
为等差数列,
为等比数列,均可用此法;
3、倒序相加法:此方法源于等差数列前n项和公式的推导,目的在于利用与首末两项等距离的两项相加有公因式可提取,以便化简后求和。
4、分组转化法:把数列的每一项分成两项,或把数列的项“集”在一块重新组合,或把整个数列分成两个部分,使其转化为等差或等比数列,这一求和方法称为分组转化法。
5、公式法求和:所给数列的通项是关于n的多项式,此时求和可采用公式求和,常用的公式有:

数列求和的方法多种多样,要视具体情形选用合适方法。
数列求和特别提醒:
(1)对通项公式含有
的一类数列,在求
时,要注意讨论n的奇偶性;
(2)在用等比数列前n项和公式时,一定要分q=1和q≠1两种情况来讨论。


