栏目分类:
子分类:
返回
名师互学网用户登录
快速导航关闭
当前搜索
当前分类
子分类
实用工具
热门搜索
名师互学网 > 会计 > 经济师

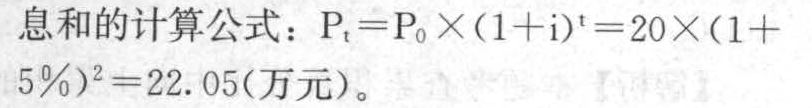
甲向乙借得20万元钱,双方约定年利率为5%,以复利方式2年后归还,则届时本金、利息之和为( )万元

经济师 更新时间: 发布时间: 会计归档 最新发布 模块sitemap 名妆网 法律咨询 聚返吧 英语巴士网 伯小乐 网商动力
甲向乙借得20万元钱,双方约定年利率为5%,以复利方式2年后归还,则届时本金、利息之和为( )万元。
  • A、21
  • B、22
  • C、22.05
  • D、22.5

  • 甲向乙借得20万元钱,双方约定年利率为5%,以复利方式2年后归还,则届时本金、利息之和为( )万元
    参考答案

    【正确答案:C】

    本题考查利息的计算。复利条件下本
    甲向乙借得20万元钱,双方约定年利率为5%,以复利方式2年后归还,则届时本金、利息之和为( )万元

    转载请注明:文章转载自 www.mshxw.com
    本文地址:https://www.mshxw.com/kuaiji/52602.html
    我们一直用心在做
    关于我们 文章归档 网站地图 联系我们

    版权所有 (c)2021-2022 MSHXW.COM

    ICP备案号:晋ICP备2021003244-6号