栏目分类:
子分类:
返回
名师互学网用户登录
快速导航关闭
当前搜索
当前分类
子分类
实用工具
热门搜索
名师互学网 > 会计 > 经济师

某城市决定从2017年8月1日起,把辖区内一著名风景区门票价格从32元提高到40元,已知该风景区20

经济师 更新时间: 发布时间: 会计归档 最新发布 模块sitemap 名妆网 法律咨询 聚返吧 英语巴士网 伯小乐 网商动力
某城市决定从2017年8月1日起,把辖区内一著名风景区门票价格从32元提高到40元,已知该风景区2016年8月的游客为100000人次,2017年8月的游客比2016年8月减少了12%,则以弧弹性公式计算的该风景区旅游的需求价格弹性系数是()。
  • A、0.57
  • B、0.48
  • C、1.1
  • D、2.08

  • 某城市决定从2017年8月1日起,把辖区内一著名风景区门票价格从32元提高到40元,已知该风景区20
    参考答案

    【正确答案:A】

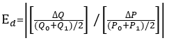
    选项A正确:由于2017年比2016年的有颗减少了12%得知:2017年8月游客数量=100000*(1-12%)=88000,将以上数字代入弧弹性公式
    某城市决定从2017年8月1日起,把辖区内一著名风景区门票价格从32元提高到40元,已知该风景区20
    可得需求价格弹性系数为0.57。(其中Q1=100000,Q2=88000,P1=32,P2=40,需求价格弹性系数取绝对值)

    转载请注明:文章转载自 www.mshxw.com
    本文地址:https://www.mshxw.com/kuaiji/211335.html
    我们一直用心在做
    关于我们 文章归档 网站地图 联系我们

    版权所有 (c)2021-2022 MSHXW.COM

    ICP备案号:晋ICP备2021003244-6号