题文
已知等差数列{an}满足a5=9且a1+a2=4,数列{bn}的前n项和
。
(1)求数列{an}的通项公式与

;
(2)若

,Tn为数列{cn}的前n项和,证明:Tn<3。 题型:未知 难度:其他题型
答案
解:(1)由a5=9且a1+a2=4得a1=1,d=2,所以an=2n-1 (n∈N*)
由

得当n=1时,

当n≥2时,

得

所以{bn}是以

为首项,

为公比的等比数列
则

因为

所以

所以

;
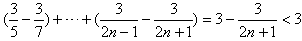
(2)由(1)得

∴


。
解析
该题暂无解析
考点
据考高分专家说,试题“已知等差数列{an}满足a5.....”主要考查你对 [等差数列的通项公式 ]考点的理解。 等差数列的通项公式等差数列的通项公式:
an=a1+(n-1)d,n∈N*。
an=dn+a1-d,d≠0时,是关于n的一次函数,斜率为公差d;
an=kn+b(k≠)
{an}为等差数列,反之不能。
对等差数列的通项公式的理解:
①从方程的观点来看,等差数列的通项公式中含有四个量,只要已知其中三个,即可求出另外一个.其中a1和d是基本量,只要知道a1和d即可求出等差数列的任一项;
②从函数的观点来看,在等差数列的通项公式中,。。是n的一次函数,其图象是直线y=dx+(a1-d)上均匀排开的一列孤立点,我们知道两点确定一条直线,因此,给出一个等差数列的任意两项,等差数列就被唯一确定了,
等差数列公式的推导:
等差数列的通项公式可由
归纳得出,当然,等差数列的通项公式也可用累加法得到:


