题文
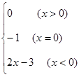
已知f(x)=![已知f(x)=则f{f[f(5)]}= A.0B.-1C.5D.-5 已知f(x)=则f{f[f(5)]}= A.0B.-1C.5D.-5](https://www.mshxw.com/file/tupian/20220113/25825bd7fcbcb3b6ed9860ff02473d78.png)
则f{f[f(5)]}= A.0B.-1C.5D.-5 题型:未知 难度:其他题型
答案
D点击查看分段函数与抽象函数知识点讲解,巩固学习
解析
![已知f(x)=则f{f[f(5)]}= A.0B.-1C.5D.-5 已知f(x)=则f{f[f(5)]}= A.0B.-1C.5D.-5](https://www.mshxw.com/file/tupian/20220113/0d24bafbf6fec9c8c0d270fbac630e53.png)
所以f{f[f(5)]}=-5.故选D
考点
据考高分专家说,试题“已知f(x)=则f{f[f(5)]}= .....”主要考查你对 [分段函数与抽象函数 ]考点的理解。 分段函数与抽象函数分段函数:
1、分段函数:定义域中各段的x与y的对应法则不同,函数式是分两段或几段给出的;
分段函数是一个函数,定义域、值域都是各段的并集。
抽象函数:
我们把没有给出具体解析式的函数称为抽象函数;
一般形式为y=f(x),或许还附有定义域、值域等,如:y=f(x),(x>0,y>0)。
知识点拨:
1、绝对值函数去掉绝对符号后就是分段函数。
2、分段函数中的问题一般是求解析式、反函数、值域或最值,讨论奇偶性单调性等。
3、分段函数的处理方法:分段函数分段研究。


