题文
已知二次函数f(x)的二次项系数为a,满足不等式f(x)>-2x的解集为(1,3),且方程f(x)+6a=0有两个相等实根,求f(x)的解析式. 题型:未知 难度:其他题型
答案
解:∵f(x)与f(x)+2x的二次项系数相等,
∴f(x)+2x的二次项系数为a.
又∵f(x)+2x>0的解集为(1,3),
∴设f(x)+2x=a(x﹣1)(x﹣3)(a<0),
∴f(x)=a(x2﹣4x+3)﹣2x=ax2﹣(4a+2)x+3a.
∵方程f(x)+6a=0有两个相等实根
∴ax2﹣(4a+2)x+9a=0有两个相等实根.
∴[﹣(4a+2)]2﹣36a2=0,解得a=1(舍去),
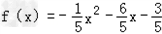
∴ 
点击查看二次函数的性质及应用知识点讲解,巩固学习
解析
该题暂无解析
考点
据考高分专家说,试题“已知二次函数f(x)的二次项系数为.....”主要考查你对 [二次函数的性质及应用 ]考点的理解。 二次函数的性质及应用二次函数的定义:
一般地,如果
(a,b,c是常数,a≠0),那么y叫做x的二次函数。
二次函数的图像:
是一条关于
对称的曲线,这条曲线叫抛物线。
抛物线的主要特征:①有开口方向,a表示开口方向;a>0时,抛物线开口向上;a<0时,抛物线开口向下;
②有对称轴
;
③有顶点
;
④c表示抛物线与y轴的交点坐标:(0,c)。
性质:二次函数y=ax2+bx+c,
①当a>0时,函数f(x)的图象开口向上,在(-∞,-
)上是减函数,在[-
,+∞)上是增函数;
②当a<0时,函数f(x)的图象开口向下,在(-∞,-
)上是增函数,在[-
,+∞)是减函数。

值域a>0a<0


奇偶性b=0时为偶函数,b≠0时为非奇非偶函数a<0单调性a>0a<0





图像特点

二次函数的解析式:
(1)一般式:
(a,b,c是常数,a≠0);
(2)顶点式:若二次函数的顶点坐标为(h,k),则其解析式为
;
(3)双根式:若相应一元二次方程的两个根为
,则其解析式为
。
二次函数在闭区间上的最值的求法:
(1)二次函数![]()
在区间[p,g]上的最值问题
一般情况下,需要分![]()

三种情况讨论解决.
当a>0时,f(x)在区间[p,g]上的最大值为M,最小值为m,令
.
①
②
③
④
特别提醒:在区间内同时讨论最大值和最小值需要分四种情况讨论.
(2)二次函数
在区间[m.n]上的最值问题一般地,有以下结论:
特别提醒:max{1,2}=2,即取集合{1,2}中最大的元素。
二次函数的应用:
(1)应用二次函数才解决实际问题的一般思路:
理解题意;建立数学模型;解决题目提出的问题。
(2)应用二次函数求实际问题中的最值:
即解二次函数最值应用题,设法把关于最值的实际问题转化为二次函数的最值问题,然后按求二次函数最值的方法求解。求最值时,要注意求得答案要符合实际问题。


