栏目分类:
子分类:
返回
名师互学网用户登录
快速导航关闭
当前搜索
当前分类
子分类
实用工具
热门搜索
名师互学网 > 学历 > 自学考试

解方程(每题4分共8分)(1)                  (2)

试题: 解方程(每题4分共8分)(1)
解方程(每题4分共8分)(1)                  (2)
                  (2)
解方程(每题4分共8分)(1)                  (2)
解分式方程, 分式方程的定义, 分式方程的应用

答案:

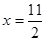
(1)
解方程(每题4分共8分)(1)                  (2)
(2)
解方程(每题4分共8分)(1)                  (2)
(1)原式
解方程(每题4分共8分)(1)                  (2)
    (2)原式
解方程(每题4分共8分)(1)                  (2)

解方程(每题4分共8分)(1)                  (2)
              
解方程(每题4分共8分)(1)                  (2)

解方程(每题4分共8分)(1)                  (2)
                
解方程(每题4分共8分)(1)                  (2)

解方程(每题4分共8分)(1)                  (2)
                 
解方程(每题4分共8分)(1)                  (2)

解方程(每题4分共8分)(1)                  (2)
   
转载请注明:文章转载自 www.mshxw.com
本文地址:https://www.mshxw.com/xueli/854420.html
我们一直用心在做
关于我们 文章归档 网站地图 联系我们

版权所有 (c)2021-2022 MSHXW.COM

ICP备案号:晋ICP备2021003244-6号