题文
国际燃气网2010年7月22日讯:据最新资源评价,准噶尔盆地石油总资源量107亿吨,天然气总资源量2.5万亿立方米,探明储量不到三成。读“岩石圈物质循环略图”,完成各题。
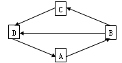
小题1:关于岩石圈物质循环意义的叙述,不正确的是( )A.矿产资源的形成与岩石圈物质循环有关B.岩石圈物质循环改变地表形态C.岩石圈物质循环实现了物质交换和能量传输D.岩石圈物质循环在自然界无关紧要小题2:与准噶尔盆地石油、天然气资源丰富有关的是( )A.AB.BC.CD.D
题型:未知 难度:其他题型
答案
小题1:D
小题2:C
解析
小题1:本题考查地壳物质循环:地球内部的岩浆,经过冷却凝固形成岩浆岩,岩浆岩受流水、风、冰川、海浪等的侵蚀、搬运、堆积作用,形成沉积岩。同时,这些已生成的岩石,在一定温度和压力等作用下发生变质,形成变质岩。各类岩石在地壳深处或地壳以下发生重熔再生作用,又成为新的岩浆。从岩浆形成各类岩石,再到新岩浆的过程,就是地壳内部的物质循环。矿产资源的形成与岩石圈物质循环有关;岩石圈物质循环改变地表形态;岩石圈物质循环实现了物质交换和能量传输。所以本题选择D选项。
小题2:准噶尔盆地石油、天然气资源主要位于沉积岩中。图中C表示沉积岩。所以本题选择C选项。
考点
据考高分专家说,试题“国际燃气网2010年7月22日讯:据最新.....”主要考查你对 [地壳的物质组成和循环 ]考点的理解。
地壳的物质组成和循环
地壳的物质组成:
地壳物质循环及图形变式
三大类岩石比较:
岩层形成顺序的判断方法:
按岩石形成年龄判断---越古老的岩石形成的年代越早。在具层理构造、呈水平状态分布的沉积岩中,往往老岩在下,新岩在上。
按岩浆活动状况判断---如果岩浆侵入某一岩层,则被侵入的岩层形成早于该岩浆岩。




