题文
如图所示,小球m自A点以向AD方向的初速度v逐渐接近固定在D点的小球n。已知
=0.8 m,
圆弧半径R=10 m,AD=10 m,A、B、C、D在同一水平面上,则v为多大时,才能使m恰好碰到小球n?(设g取10m/s2)
题型:未知 难度:其他题型
答案
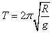
解:小球m的运动由两个分运动合成,这两个运动分别是:以速度v沿AD方向的匀速直线运动和圆弧面
方向上的往复运动。因为
<<R,所以小球在圆弧面上的往复运动具有等时性,是一种等效单摆,其圆弧半径R即为等效单摆的摆长
设小球m恰好能碰到小球n,则有:AD=vt,且满足t=kT(k=1,2,3,...)
又
解以上方程得
(k=1,2,3,...)
解析
该题暂无解析
考点
据考高分专家说,试题“如图所示,小球m自A点以向A.....”主要考查你对 [简谐运动的回复力和能量 ]考点的理解。
简谐运动的回复力和能量
振动图像:
(1)图像:
(2)意义:反映质点的位移随时间变化的规律(不是质点的运动轨迹)
(3)特点:所有简谐运动的图线都是正弦或余弦曲线
(4)蕴含信息:
①振幅A、周期T以及各时刻质点的位置、某段时间内质点的位移。
②各时刻回复力、加速度、速度、位移的方向。判断速度方向可以作曲线上某点的切线,若切线的斜率为正,则说明该时刻的速度方向为正方向。
③某段时间内位移、回复力、加速度、速度、动能、势能的变化情况
能量:
(1)定义:做简谐运动的物体在振动中经过某一位置时所具有的势能和动能之和,称为简谐运动的能量
(2)特征:
①做简谐运动的物体能量的变化规律:只有动能和势能的相互转化,机械能守恒。
②简谐运动中的能量跟振幅有关,振幅越大,振动的能量越大。
③在振动的一个周期内,动能和势能完成两次周期性变化,经过平衡位置时动能最大,势能最小;经过最大位移处时,势能最大,动能最小
简谐运动的位移、回复力、加速度、速度、势能、动能比较:



