题文
设定义域为R的函数
满足下列条件:①对任意

;②对任意

,当

时,有

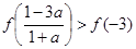
,则下列不等式不一定成立的是( )A.

B.

C.

D.

题型:未知 难度:其他题型
答案
C解析
由条件知:函数
是奇函数,在

上是增函数;且


一定成立;

B一定成立;

的大小不定,


所以C不一定成立;




,则

即

D一定成立;故选C
考点
据考高分专家说,试题“设定义域为R的函数满足下列条件:①对任意.....”主要考查你对 [函数的单调性、最值 ]考点的理解。 函数的单调性、最值单调性的定义:
1、对于给定区间D上的函数f(x),若对于任意x1,x2∈D,当x1<x2时,都有f(x1)<f(x2),则称f(x)是区间上的增函数;当x1<x2时,都有f(x1)>f(x2),则称f(x)是区间D上的减函数。
2、如果函数y=f(x)在区间上是增函数或减函数,就说函数y=f(x)在区间D上具有(严格的)单调性,区间D称为函数f(x)的单调区间。如果函数y=f(x)在区间D上是增函数或减函数,区间D称为函数f(x)的单调增或减区间
3、最值的定义:
最大值:一般地,设函数y=f(x)的定义域为I,如果存在实数M,满足: ①对于任意的x∈I,都有f(x)≤M;②存在x0∈I,使得f(x0)=M;那么,称M是f(x)的最大值.
最小值:一般地,设函数y=f(x)的定义域为I,如果存在实数M,满足: ①对于任意的x∈I,都有f(x)≥M;②存在x0∈I,使得f(x0)=M;那么,称M是f(x)的最小值
判断函数f(x)在区间D上的单调性的方法:
(1)定义法:其步骤是:
①任取x1,x2∈D,且x1<x2;
②作差f(x1)-f(x2)或作商
,并变形;
③判定f(x1)-f(x2)的符号,或比较
与1的大小;
④根据定义作出结论。
(2)复合法:利用基本函数的单调性的复合。
(3)图象法:即观察函数在区间D上部分的图象从左往右看是上升的还是下降的。


