题文
已知
.
(1)求

的单调区间;
(2)证明:当

时,

恒成立;
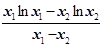
(3)任取两个不相等的正数

,且

,若存在

使

成立,证明:

. 题型:未知 难度:其他题型
答案
见解析解析
(1)g(x)=lnx+
,

=


(1’)
当k

0时,

>0,所以函数g(x)的增区间为(0,+

),无减区间;
当k>0时,

>0,得x>k;

<0,得0

)减区间为(0,k)(3’)
(2)设h(x)=xlnx-2x+e(x

1)令

= lnx-1=0得x="e," 当x变化时,h(x),

的变化情况如表
x
1
(1,e)
e
(e,+

)

-
0
+
h(x)
e-2

↘
0
↗
所以h(x)

0, ∴f(x)

2x-e (5’)
设G(x)=lnx-

(x

1)

=

=


0,当且仅当x=1时,

=0所以G(x) 为减函数, 所以G(x)

G(1)="0," 所以lnx-


0所以xlnx


(x

1)成立,所以f(x)


,综上,当x

1时, 2x-e

f(x)


恒成立.
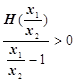
(3) ∵

=lnx+1∴lnx0+1=

=

∴lnx0=

-1
∴lnx0–lnx

=

-1–lnx

=

=

=

(10’)
设H(t)=lnt+1-t(0

=

=

>0(0

∴

=

∴lnx0 –lnx

>0, ∴x0>x

考点
据考高分专家说,试题“已知.(1)求的单调区间;(2)证明:当.....”主要考查你对 [函数的单调性、最值 ]考点的理解。 函数的单调性、最值单调性的定义:
1、对于给定区间D上的函数f(x),若对于任意x1,x2∈D,当x1<x2时,都有f(x1)<f(x2),则称f(x)是区间上的增函数;当x1<x2时,都有f(x1)>f(x2),则称f(x)是区间D上的减函数。
2、如果函数y=f(x)在区间上是增函数或减函数,就说函数y=f(x)在区间D上具有(严格的)单调性,区间D称为函数f(x)的单调区间。如果函数y=f(x)在区间D上是增函数或减函数,区间D称为函数f(x)的单调增或减区间
3、最值的定义:
最大值:一般地,设函数y=f(x)的定义域为I,如果存在实数M,满足: ①对于任意的x∈I,都有f(x)≤M;②存在x0∈I,使得f(x0)=M;那么,称M是f(x)的最大值.
最小值:一般地,设函数y=f(x)的定义域为I,如果存在实数M,满足: ①对于任意的x∈I,都有f(x)≥M;②存在x0∈I,使得f(x0)=M;那么,称M是f(x)的最小值
判断函数f(x)在区间D上的单调性的方法:
(1)定义法:其步骤是:
①任取x1,x2∈D,且x1<x2;
②作差f(x1)-f(x2)或作商
,并变形;
③判定f(x1)-f(x2)的符号,或比较
与1的大小;
④根据定义作出结论。
(2)复合法:利用基本函数的单调性的复合。
(3)图象法:即观察函数在区间D上部分的图象从左往右看是上升的还是下降的。


