题文
设函数y=f(x)是定义在R+上的减函数,并且满足f(xy)=f(x)+f(y),
。
(1)求f(1)的值;
(2)如果f(x)+f(2-x)<2,求x的取值范围。 题型:未知 难度:其他题型
答案
解:(1)令x=y=1,则
,
∴

。
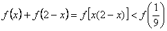
(2)∵

,
∴

,
∴

,
又由y=f(x)是定义在R+上的减函数,
得:

,解之得:

。
解析
该题暂无解析
考点
据考高分专家说,试题“设函数y=f(x)是定义在R.....”主要考查你对 [函数的定义域、值域 ]考点的理解。 函数的定义域、值域定义域、值域的概念:
自变量取值范围叫做函数的定义域,函数值的集合叫做函数的值域。
1、求函数定义域的常用方法有:
(1)根据解析式要求如偶次根式的被开方大于零,分母不能为零等;
(2)根据实际问题的要求确定自变量的范围;
(3)根据相关解析式的定义域来确定所求函数自变量的范围;
(4)复合函数的定义域:如果y是u的函数,而u是x的函数,即y=f(u),u=g(x),那么y=f[g(x)]叫做函数f与g的复合函数,u叫做中间变量,设f(x)的定义域是x∈M,g(x)的定义域是x∈N,求y=f[g(x)]的定义域时,则只需求满足
的x的集合。设y=f[g(x)]的定义域为P,则
。
3、求函数值域的方法:
(1)利用一些常见函数的单调性和值域,如一次函数,二次函数,反比例函数,指数函数,对数函数,三角函数,形如
(a,b为非零常数)的函数;
(2)利用函数的图象即数形结合的方法;
(3)利用均值不等式;
(4)利用判别式;
(5)利用换元法(如三角换元);
(6)分离法:分离常数与分离参数两种形式;
(7)利用复合函数的单调性。(注:二次函数在闭区间上的值域要特别注意对称轴与闭区间的位置关系,含字母时要注意讨论)


