题文
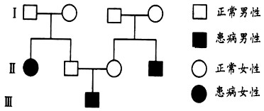
在一个与世隔绝的小岛上,地中海贫血症(单基因遗传病)具有较高的发病率,为确定该遗传病的遗传方式,研究人员对岛上若十个家庭进行了调查。在一个祖孙三代的家庭里,丈夫(甲)和妻子(乙)均表现正常。他们仅有的一个孩子为患有该病的男孩,甲的姐姐和乙的弟弟均为该病患者,而甲乙双方的父母均表现正常。请据此回答下列问题:
(1)请在下列空白方框中绘制出该家庭三代的遗传系谱图。
(3)经调查,岛上每256个人中有1个人患此遗传病,则该岛人群中T基因的频率为____。选择此地进行调查的原因是____,有利于进行数据统计与分析。
题型:未知 难度:其他题型
答案
(1)
(2)常 隐 Tt、Tt 1/4 产前诊断
(3)15/16 岛上居民与外界基本无基因交流
解析
该题暂无解析
考点
据考高分专家说,试题“在一个与世隔绝的小岛上,地中.....”主要考查你对 [人类遗传病 ]考点的理解。
人类遗传病
人类遗传病:
1、概念:通常是指由于遗传物质改变而一汽的人类疾病,主要可以分为单基因遗传病、多基因遗传病和染色体异常变异遗传病三类。
2、遗传病的判定方法:
(1)首先确定显隐性:
①“无中生有为隐性”;
②“有中生无为显性”
③判断是显性还是隐性遗传病方法:看患者总数,如果患者很多连续每代都有即为显性遗传。如果患者数量很少,只有某代或隔代个别有患者即为隐性遗传。
(2)再确定致病基因的位置:
①“无中生有为隐性,女儿患病为常隐”
②“有中生无为显性,女儿正常为常显”
③“母患子必患,女患父必患,男性患者多于女性”――最可能为“X隐”(女病男必病)
④“父患女必患,子患母必患,女性患者多于男性”――最可能为“X显”(男病女必病)
⑤“父传子,子传孙,子子孙孙无穷尽,无女性患者”――最可能为“伴Y”(男性全为患者)
(3)常染色体与性染色体同时存在的处理方法:
①当既有性染色体又有常染色体上的基因控制的两对及以上的性状遗传时;
②由性染色体上的基因控制的性状按伴性遗传处理;
③由常染色体上的基因控制的性状按分离规律处理;
④整体上则按基因的自由组合定律来处理
(4)某种遗传病的发病率=某种遗传病的患病人数/某种遗传病的被调查人数×100%
知识拓展:
1、单基因病又分为三种:
①显性遗传:父母一方有显性基因,一经传给下代就能发病,即有发病的亲代,必然有发病的子代,而且世代相传,如多指,并指,原发性青光眼等。
②隐性遗传:如先天性聋哑,高度近视,白化病等,之所以称隐性遗传病,是因为患儿的双亲外表往往正常,但都是致病基因的携带者。
③性链锁遗传又称伴性遗传发病与性别有关,如血友病,其母亲是致病基因携带者。又如红绿色盲是一种交叉遗传儿子发病是来自母亲,是致病基因携带者,而女儿发病是由父亲而来,但男性的发病率要比女性高得多。
2、多基因遗传:是由多种基因变化影响引起,是基因与性状的关系,人的性状如身长、体型、智力、肤色和血压等均为多基因遗传,还有唇裂、腭裂也是多基因遗传。此外多基因遗传受环境因素的影响较大,如哮喘病、精神分裂症等。
3、常见遗传病
(1)苯丙酮尿症的发病机理是苯丙氨酸羟化酶缺陷,使苯丙氨酸和苯丙酮酸在体内堆积而致病,可出现患儿智力低下或成为白痴。苯丙酮尿症是先天代谢性疾病的一种,为常染色体隐性遗传。
(2)白化病:白化病属于家族遗传性疾病,为常染色体隐性遗传,常发生于近亲结婚的人群中。
(3)抗维生素D佝偻病:是一种肾小管遗传缺陷性疾病,发病率约1:25000。有低血磷性和低血钙性两种。比较多见的是低血磷性抗维生素D佝偻病,又称家族性低磷血症(familialhypophosphatemia),或肾性低血磷性佝偻病(renalhypophosphatemicrickets)。该病主要是由于位于X染色体上的PHEX基因的突变,导致肾小管回吸收磷减少所致。肠道吸收钙、磷不良,血磷降低,一般在0.65~0.97/mmol/L(2~3mg/dl)之间,钙磷乘积多在30以下,骨质不易钙化。
遗传特点是:女性中的发病率高于男性,家族性低血磷酸盐性佝偻病为X连锁显性遗传。女性患者骨骼疾病较男性为轻,可仅表现为低磷酸盐血症。散发的获得性病例常与良性间质性肿瘤有关(癌基因性佝偻病)。



