题文
设
集合

,
(1)若

,求实数

的取值范围;
(2)当

时,没有元素

使得

与

同时成立,求实数

的取值范围。 题型:未知 难度:其他题型
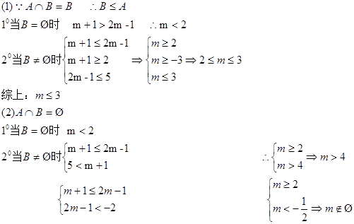
答案




综上:m>4或m<2
解析
略考点
据考高分专家说,试题“设集合,(1)若,求实数的取值范围;(2.....”主要考查你对 [集合间交、并、补的运算(用Venn图表示) ]考点的理解。 集合间交、并、补的运算(用Venn图表示)1、交集概念:
(1)一般地,由所有属于集合A且集合B的元素所组成的集合,叫做A与B的交集,记作A∩B,读作A交B,表达式为A∩B={x|x∈A且x∈B}。
(2)韦恩图表示为
。
2、并集概念:
(1)一般地,由所有属于集合A或集合B的元素所组成的集合,叫做A与B的并集,记作A∪B,读作A并B,表达式为A∪B={x|x∈A或x∈B}。
(2)韦恩图表示为
。
3、全集、补集概念:
(1)全集:一般地,如果一个集合含有我们所要研究的各个集合的全部元素,就称这个集合为全集,通常记作U。
补集:对于一个集合A,由全集U中所有不属于A的元素组成的集合称为集合A相对于全集U的补集,记作CUA,读作U中A的补集,表达式为CUA={x|x∈U,且x
A}。
(2)韦恩图表示为
。
1、交集的性质:
2、并集的性质:
3、补集的性质:





