题文
已知
是公比大于

的等比数列,它的前

项和为

, 若

,

,

,

成等差数列,且

,

(

).
(1)求

;
(2)证明:

(其中

为自然对数的底数). 题型:未知 难度:其他题型
答案
(1)

;(2)见解析
解析
(1)列出
;(2)
解:(1)依

,

,

,

成等差数列,
得

-----------------------------------------(2分)
从而

得

故


.--------------------------------------------------------(4分)
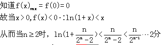
(2)当

时,


得.

要证明

只需证

.--------------------(1分)
令

,则

=


于是

令

=


=

得

=

故

=

故

.-------------------------------(3分)
考点
据考高分专家说,试题“已知是公比大于的等比数列,它的前项和为,.....”主要考查你对 [等比数列的定义及性质 ]考点的理解。 等比数列的定义及性质等比数列的定义:
一般地,如果一个数列从第2项起,每一项与它的前一项的比等于同一个常数,那么这个数列就叫做等比数列,这个常数叫做公比,公比通常用字母q表示(q≠0)。
等比数列的性质:
在等比数列{an}中,有
(1)若m+n=p+q,m,n,p,q∈N*,则aman=apaq;当m+n=2p时,aman=ap2;
(2)若m,n∈N*,则am=anqm-n;
(3)若公比为q,则{
}是以
为公比的等比数列;
(4)下标成等差数列的项构成等比数列;
(5)
1)若a1>0,q>1,则{an}为递增数列;
2)a1<0,q>1, 则{an}为递减数列;
3)a1>0,0<q<1,则{an}为递减数列;
4)a1<0, 0<q<1, 则{an}为递增数列;
5)q<0,则{an}为摆动数列;若q=1,则{an}为常数列。

如何证明一个数列是等比数列:



