题文
在金融危机中,某钢材公司积压了部分圆钢,经清理知共有2 009根.现将它们堆放在一起,(Ⅰ)若堆放成纵断面为正三角形(每一层的根数比上一层根数多1根),并使剩余的圆钢尽可能地少,则剩余了多少根圆钢?
(Ⅱ)若堆成纵断面为等腰梯形(每一层的根数比上一层根数多1根),且不少于7层,圆钢没有剩余.
(1)共有几种不同的方案?
(2)已知每根圆钢的直径为10cm,为考虑安全隐患,堆放高度不得高于4m,则选择哪个方案,最能节省堆放场地(即最下层占用面积最少)? 题型:未知 难度:其他题型
答案
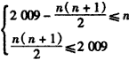
解:(Ⅰ)当纵断面为正三角形时,设共堆放n层,则从上到下每层圆钢根数是以1为首项,1为公差的等差数列,且剩余的圆钢一定小于n根,
从而由

且n∈N*得,
当n=62 时,使剩余的圆钢尽可能地少,此时剩余了56根圆钢。
(Ⅱ)(1)当纵断面为等腰梯形时,设共堆放n层,
则从上到下每层圆钢根数是以x为首项,1为公差的等差数列,
从而nx+

n(n-1)=2009,
即n(2x+n-1)=2×2009=2×7×7×41,
因n-1与n的奇偶性不同,
所以2x+n-1与n的奇偶性也不同,且n<2x+n-1,
从而由上述等式得:

或

或

或

,
所以共有4种方案可供选择.
(2)因层数越多,最下层堆放得越少,占用面积也越少,
所以由(1)可知:
若n= 49,则x=17,说明最七层有17根圆钢,最下层有65根圆钢,此时如图所示,两腰之长为480cm,上下底之长为160cm和640cm,从而梯形之高为240

cm,显然大于4m,不合条件,舍去;

若n=41,则x=29,说明最上层有29根圆钢,最下层有69根圆钢,此时如图所示,两腰之长为400cm,上下底之长分别为280cm,680cm,从而梯形之高为200

cm,而200

+10<400,所以符合条件;
综上所述,选择堆放41层这个方案,最能节省堆放场地。
解析
该题暂无解析
考点
据考高分专家说,试题“在金融危机中,某钢材公司积压.....”主要考查你对 [等差数列的定义及性质 ]考点的理解。 等差数列的定义及性质等差数列的定义:
一般地,如果一个数列从第2项起,每一项与它的前一项的差等于同一个常数,那么这个数列就叫做等差数列,这个常数叫做公差,用符号语言表示为an+1-an=d。
等差数列的性质:
(1)若公差d>0,则为递增等差数列;若公差d<0,则为递减等差数列;若公差d=0,则为常数列;
(2)有穷等差数列中,与首末两端“等距离”的两项和相等,并且等于首末两项之和;
(3)m,n∈N*,则am=an+(m-n)d;
(4)若s,t,p,q∈N*,且s+t=p+q,则as+at=ap+aq,其中as,at,ap,aq是数列中的项,特别地,当s+t=2p时,有as+at=2ap;
(5)若数列{an},{bn}均是等差数列,则数列{man+kbn}仍为等差数列,其中m,k均为常数。
(6)

(7)从第二项开始起,每一项是与它相邻两项的等差中项,也是与它等距离的前后两项的等差中项,即

(8)
仍为等差数列,公差为
对等差数列定义的理解:
①如果一个数列不是从第2项起,而是从第3项或某一项起,每一项与它前一项的差是同一个常数,那么此数列不是等差数列,但可以说从第2项或某项开始是等差数列.
②求公差d时,因为d是这个数列的后一项与前一项的差,故有
还有
③公差d∈R,当d=0时,数列为常数列(也是等差数列);当d>0时,数列为递增数列;当d<0时,数列为递减数列;
④
是证明或判断一个数列是否为等差数列的依据;
⑤证明一个数列是等差数列,只需证明an+1-an是一个与n无关的常数即可。
等差数列求解与证明的基本方法:
(1)学会运用函数与方程思想解题;
(2)抓住首项与公差是解决等差数列问题的关键;
(3)等差数列的通项公式、前n项和公式涉及五个量:a1,d,n,an,Sn,知道其中任意三个就可以列方程组求出另外两个(俗称“知三求二’).


