题文
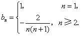
将数列{an}中的所有项按每一行比上一行多一项的规则排成如下数表,记表中的第一列数a1,a2,a4,a7,…构成的数列为{bn},b1=a1=1,Sn为数列{bn}的前n项和,且满足
。

(1)证明数列{

}成等差数列,并求数列{bn}的通项公式;
(2)上表中,若从第三行起,每一行中的数按从左到右的顺序均构成等比数列,且公比为同一个正数,当

时,求上表中第k(k≥3)行所有项和的和。 题型:未知 难度:其他题型
答案
解:(1)由已知,当
时,

,
又

,
所以

,
即

,
所以

,
又

所以数列

是首项为1,公差为

的等差数列。
由上可知

,
即

所以当

时,

因此

(2)解:设表中从第三行起,每行的公比都为q,且

因为

,
所以表中第1行至第12行共含有数列

的前78项,
故

在表中第13行第三列,
因此

又

,
所以

记表中第

行所有项的和为S,
则

。
解析
该题暂无解析
考点
据考高分专家说,试题“将数列{an}中的所有项按每.....”主要考查你对 [等差数列的定义及性质 ]考点的理解。 等差数列的定义及性质等差数列的定义:
一般地,如果一个数列从第2项起,每一项与它的前一项的差等于同一个常数,那么这个数列就叫做等差数列,这个常数叫做公差,用符号语言表示为an+1-an=d。
等差数列的性质:
(1)若公差d>0,则为递增等差数列;若公差d<0,则为递减等差数列;若公差d=0,则为常数列;
(2)有穷等差数列中,与首末两端“等距离”的两项和相等,并且等于首末两项之和;
(3)m,n∈N*,则am=an+(m-n)d;
(4)若s,t,p,q∈N*,且s+t=p+q,则as+at=ap+aq,其中as,at,ap,aq是数列中的项,特别地,当s+t=2p时,有as+at=2ap;
(5)若数列{an},{bn}均是等差数列,则数列{man+kbn}仍为等差数列,其中m,k均为常数。
(6)

(7)从第二项开始起,每一项是与它相邻两项的等差中项,也是与它等距离的前后两项的等差中项,即

(8)
仍为等差数列,公差为
对等差数列定义的理解:
①如果一个数列不是从第2项起,而是从第3项或某一项起,每一项与它前一项的差是同一个常数,那么此数列不是等差数列,但可以说从第2项或某项开始是等差数列.
②求公差d时,因为d是这个数列的后一项与前一项的差,故有
还有
③公差d∈R,当d=0时,数列为常数列(也是等差数列);当d>0时,数列为递增数列;当d<0时,数列为递减数列;
④
是证明或判断一个数列是否为等差数列的依据;
⑤证明一个数列是等差数列,只需证明an+1-an是一个与n无关的常数即可。
等差数列求解与证明的基本方法:
(1)学会运用函数与方程思想解题;
(2)抓住首项与公差是解决等差数列问题的关键;
(3)等差数列的通项公式、前n项和公式涉及五个量:a1,d,n,an,Sn,知道其中任意三个就可以列方程组求出另外两个(俗称“知三求二’).


