题文
已知数列
的首项

,

,

.
(Ⅰ)求证:数列

是等比数列;
(Ⅱ)求数列

的前

项和

. 题型:未知 难度:其他题型
答案
解:(Ⅰ)
,




数列

是以

为首项,

为公比的等比数列.

(Ⅱ)由(Ⅰ)可得:

即

,


设

, ①
则

, ②

①

②得:



,

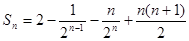
.

又

…



数列

的前

项和

解析
本试题主要考查了等比数列的概念,以及递推关系式的变形,求解数列和的问题综合试题。利用错位相减法来求解数列的和,这一种方法尤为重要。要熟练掌握。考点
据考高分专家说,试题“已知数列的首项,,.(Ⅰ)求证:数列是等.....”主要考查你对 [等差数列的定义及性质 ]考点的理解。 等差数列的定义及性质等差数列的定义:
一般地,如果一个数列从第2项起,每一项与它的前一项的差等于同一个常数,那么这个数列就叫做等差数列,这个常数叫做公差,用符号语言表示为an+1-an=d。
等差数列的性质:
(1)若公差d>0,则为递增等差数列;若公差d<0,则为递减等差数列;若公差d=0,则为常数列;
(2)有穷等差数列中,与首末两端“等距离”的两项和相等,并且等于首末两项之和;
(3)m,n∈N*,则am=an+(m-n)d;
(4)若s,t,p,q∈N*,且s+t=p+q,则as+at=ap+aq,其中as,at,ap,aq是数列中的项,特别地,当s+t=2p时,有as+at=2ap;
(5)若数列{an},{bn}均是等差数列,则数列{man+kbn}仍为等差数列,其中m,k均为常数。
(6)

(7)从第二项开始起,每一项是与它相邻两项的等差中项,也是与它等距离的前后两项的等差中项,即

(8)
仍为等差数列,公差为
对等差数列定义的理解:
①如果一个数列不是从第2项起,而是从第3项或某一项起,每一项与它前一项的差是同一个常数,那么此数列不是等差数列,但可以说从第2项或某项开始是等差数列.
②求公差d时,因为d是这个数列的后一项与前一项的差,故有
还有
③公差d∈R,当d=0时,数列为常数列(也是等差数列);当d>0时,数列为递增数列;当d<0时,数列为递减数列;
④
是证明或判断一个数列是否为等差数列的依据;
⑤证明一个数列是等差数列,只需证明an+1-an是一个与n无关的常数即可。
等差数列求解与证明的基本方法:
(1)学会运用函数与方程思想解题;
(2)抓住首项与公差是解决等差数列问题的关键;
(3)等差数列的通项公式、前n项和公式涉及五个量:a1,d,n,an,Sn,知道其中任意三个就可以列方程组求出另外两个(俗称“知三求二’).


