题文
椭圆C中心在原点,焦点在x轴上,一条经过点(3,
)且方向向量为a=(-2,

)的直线l交椭圆于A,B两点,交x轴于M点,又

,
(Ⅰ)求直线l的方程;
(Ⅱ)求椭圆C长轴的取值范围。 题型:未知 难度:其他题型
答案
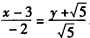
解:(Ⅰ)直线l过点(3,
)且方向向量为a=(-2,

),
所以方程为

,即

。
(Ⅱ)设

与

交于

,
与x轴交于M(1,0),
由

知,

,
将

代入

中得,

,
∴

,①
∵

,
∴

,②
由①消去y2,得

,③
将③式代入②式,得

,
∴

,
又

,
∴

,
综合解得

,
∴

;
所以,椭圆长轴的取值范围

。
解析
该题暂无解析
考点
据考高分专家说,试题“椭圆C中心在原点,焦点在x轴上,一.....”主要考查你对 [向量共线的充要条件及坐标表示 ]考点的理解。 向量共线的充要条件及坐标表示向量共线的充要条件:
向量共线的几何表示:
向量共线(平行)基本定理的理解:
(1)对于向量a(a≠0),b,如果有一个实数λ,使得b=λa,那么由向量数乘的定义知,a与b共线.
(2)反过来,已知向量a与b共线,a≠0,且向量b的长度是向量a的长度的μ倍,即|b|=μ|a|,那么当a与b同方向时,有b=μa;当a与b反方向时,有b=-μa.
(3)向量平行与直线平行是有区别的,直线平行不包括重合.
(4)判断a(a≠0)与b是否共线时,关键是寻找a前面的系数,如果系数有且只有一个,说明共线;如果找不到满足条件的系数,则这两个向量不共线.
(5)如果a=b=0,则数λ仍然存在,且此时λ并不唯一,是任意数值.









