栏目分类:
子分类:
返回
名师互学网用户登录
快速导航关闭
当前搜索
当前分类
子分类
实用工具
热门搜索
名师互学网 > 高中 > 高中数学 > 高中数学题库

已知,向量,,, 其中。求的单调增区间;当时,的最大值为5,求的值。

题文

(12分)已知
已知,向量,,, 其中。求的单调增区间;当时,的最大值为5,求的值。

已知,向量,,, 其中。求的单调增区间;当时,的最大值为5,求的值。
,向量
已知,向量,,, 其中。求的单调增区间;当时,的最大值为5,求的值。

已知,向量,,, 其中。求的单调增区间;当时,的最大值为5,求的值。

已知,向量,,, 其中。求的单调增区间;当时,的最大值为5,求的值。
, 其中
已知,向量,,, 其中。求的单调增区间;当时,的最大值为5,求的值。

(1)求
已知,向量,,, 其中。求的单调增区间;当时,的最大值为5,求的值。
的单调增区间;
(2)当
已知,向量,,, 其中。求的单调增区间;当时,的最大值为5,求的值。
时,
已知,向量,,, 其中。求的单调增区间;当时,的最大值为5,求的值。
的最大值为5,求
已知,向量,,, 其中。求的单调增区间;当时,的最大值为5,求的值。
的值。 题型:未知 难度:其他题型

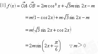
答案



已知,向量,,, 其中。求的单调增区间;当时,的最大值为5,求的值。

已知,向量,,, 其中。求的单调增区间;当时,的最大值为5,求的值。

解析

考点

据考高分专家说,试题“(12分)已知,向量,,, 其中。(1).....”主要考查你对 [向量数量积的含义及几何意义 ]考点的理解。
转载请注明:文章转载自 www.mshxw.com
本文地址:https://www.mshxw.com/gaozhong/171246.html

高中数学题库相关栏目本月热门文章

我们一直用心在做
关于我们 文章归档 网站地图 联系我们

版权所有 (c)2021-2022 MSHXW.COM

ICP备案号:晋ICP备2021003244-6号