题文
如图,过抛物线x2=4y的对称轴上任一点P(0,m)(m>0)作直线与抛物线交于A,B两点,点Q是点P关于原点的对称点,(Ⅰ)设点P分有向线段

所成的比为λ,证明:

;
(Ⅱ)设直线AB的方程是x-2y+12=0,过A,B两点的圆C与抛物线在点A处有共同的切线,求圆C的方程。 题型:未知 难度:其他题型
答案
解:(Ⅰ)依题意,可设直线AB的方程为y=kx+m,
代入抛物线方程
得
, ①
设A、B两点的坐标分别是
,
则x1、x2是方程①的两根,所以
,
由点P(0,m)分有向线段
所成的比为λ,
得
,即
,
又点Q是点P关于原点的对称点,故点Q的坐标是(0,-m),
从而
,
,


,
所以
;
(Ⅱ)由
得点A、B的坐标分别是(6,9)、(-4,4),
由
得
,
所以抛物线
在点A处切线的斜率为
,
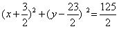
设圆C的方程是
,
则
,
解之得
,
所以圆C的方程是
,即
。
解析
该题暂无解析
考点
据考高分专家说,试题“如图,过抛物线x2=4y的对称轴上.....”主要考查你对 [用坐标表示向量的数量积 ]考点的理解。


