栏目分类:
子分类:
返回
名师互学网用户登录
快速导航关闭
当前搜索
当前分类
子分类
实用工具
热门搜索
名师互学网 > 高中 > 高中数学 > 高中数学题库

在平行四边形ABCD中,AC与BD交于点O,E是线段OD的中点,AE的延长线与CD交于点F.若,则 ( )

题文

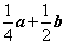
在平行四边形ABCD中,AC与BD交于点O,E是线段OD的中点,AE的延长线与CD交于点F.若

在平行四边形ABCD中,AC与BD交于点O,E是线段OD的中点,AE的延长线与CD交于点F.若,则 (   )
,则
在平行四边形ABCD中,AC与BD交于点O,E是线段OD的中点,AE的延长线与CD交于点F.若,则 (   )
  (     )
A.
在平行四边形ABCD中,AC与BD交于点O,E是线段OD的中点,AE的延长线与CD交于点F.若,则 (   )

B.
在平行四边形ABCD中,AC与BD交于点O,E是线段OD的中点,AE的延长线与CD交于点F.若,则 (   )

C.
在平行四边形ABCD中,AC与BD交于点O,E是线段OD的中点,AE的延长线与CD交于点F.若,则 (   )

D.
在平行四边形ABCD中,AC与BD交于点O,E是线段OD的中点,AE的延长线与CD交于点F.若,则 (   )
题型:未知 难度:其他题型

答案

B

解析

该题暂无解析

考点

据考高分专家说,试题“在平行四边形.....”主要考查你对 [向量的线性运算及坐标表示 ]考点的理解。
转载请注明:文章转载自 www.mshxw.com
本文地址:https://www.mshxw.com/gaozhong/161449.html

高中数学题库相关栏目本月热门文章

我们一直用心在做
关于我们 文章归档 网站地图 联系我们

版权所有 (c)2021-2022 MSHXW.COM

ICP备案号:晋ICP备2021003244-6号