匀变速直线运动的定义
加速度不变的直线运动叫做匀变速直线运动。
匀变速直线运动有关公式
匀变速直线运动四个基本公式
匀变速直线运动的推论
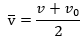
1、一段时间内的平均速度,等于这段时间内中间时刻的瞬时速度,等于这段时间内初末速度的平均值。
2、相邻相等时间间隔内的位移之差等于一个恒定值。
3、一段位移内中间位置的瞬时速度,等于这段位移内初速度的平方加末速度的平方除二开根号。
匀变速直线运动比例关系(初速度为零或者末速度为零)
1、速度比例
1T末、2T末、3T末……nT末瞬时速度之比
2、位移比例(2个)
1T内,2T内,3T内…nT内的位移之比
第一个T内,第二个T内,第三个T内…..第n 个T内位移比:
3、时间比例(2个)
通过前X,前2X,前3X…前nx的位移所用的时间之比
通过连续相等的位移所用时间之比















