一、等效电压源定理(戴维宁定理)
1、内容:一个包含电源的二端电路网络(端点为 A、B),可看成一个等效的电压源,等效电压源的电动势等于“二端电路网络”两端的开路电压(
对甲图,设电路中电流为 I,由闭合电路欧姆定律,有:
;图丙是该等效电源的内部结构,易知:
对丁图,设通过 R 的电流为 I,R 两端电压为 U,则通过电源的电流为
,变形得: 
左图中电流表测量的是通过电源的电流,但由于电流表的分压作用,电压表却测量的不是电源的端电压,右图中电压表测量的是电源的端电压,但由于电压表的分流作用,电流表测量的也不是通过电源的电流。
但是,两图中,电压表测量的都是虚线框两端的电压,电流表测量的都是通过虚线框的电流,因此, 依据E=U+Ir,算出来的实际上是虚线框内等效电源的电动势和内阻,即左图:
2、动态电路相关问题的分析
如图所示电路中,电源内阻不能忽略不计,电流表、电压表均视为 理想表,滑动变阻器总阻值足够大;当滑动变阻器滑片从左端向右滑动时,下 列说法中正确的是:( )
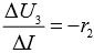
CD、将除R外的其余部分视为等效电源(E2、r2),则有
,可知
,而不是 R ,R 实际上是变化的;R 消耗的功率即为等效电源(E2、r2)的输出功率,由
函数规律可知,R 从 0 逐渐增大到 r2时,P 逐渐增大;当R=r2时,P 最大,为
;R 再增大,P 又减小。按此思路,结合串联分压、并联分流知识,易得出动态电路分析一个重要的结论——“串反并同”。



