定义式
函数公式
倒数关系:
商数关系:
平方关系:
诱导公式
记背诀窍:奇变偶不变,符号看象限,即形如(2k+1)90°±α,则函数名称变为余名函数,正弦变余弦,余弦变正弦,正切变余切,余切变正切。形如2k×90°±α,则函数名称不变。
基本公式
【和差角公式】
◆二角和差公式
◆ 三角和公式
【和差化积公式】
口诀:
正加正,正在前,余加余,余并肩,
正减正,余在前,余减余,负正弦.
【积化和差公式】
【倍角公式】
◆ 二倍角公式
◆ 三倍角公式
◆ 四倍角公式
◆ 五倍角公式
◆ 半角公式
◆ 万能公式
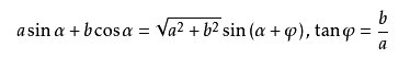
◆ 辅助角公式
◆ 余弦定理
◆ 三角函数公式算面积
定理:在△ABC中,其面积就应该是底边对应的高的1/2,不妨设BC边对应的高是AD,那么△ABC的面积就是AD*BC*1/2。而AD是垂直于BC的,这样△ADC就是直角三角形了,显然

由此可以得出,AD=ACsinC,将这个式子带回三角形的计算公式中就可以得到:
同理,即可得出三角形的面积等于两邻边及其夹角正弦值的乘积的一半。
◆ 公式:
若△ABC中角A,B,C所对的三边是a,b,c:
则S△ABC=1/2absinC=1/2bcsinA=1/2acsinB.
◆ 反三角函数
反三角函数主要是三个:
y=arcsin(x),定义域[-1,1] ,值域[-π/2,π/2]
y=arccos(x),定义域[-1,1] , 值域[0,π]
y=arctan(x),定义域(-∞,+∞),值域(-π/2,π/2)
sinarcsin(x)=x,定义域[-1,1],值域 【-π/2,π/2】
◆ 反三角函数公式:
arcsin(-x)=-arcsinx
arccos(-x)=π-arccosx
arctan(-x)=-arctanx
arccot(-x)=π-arccotx
arcsinx+arccosx=π/2=arctanx+arccotx sin(arcsinx)=x=cos(arccosx)=tan(arctanx)=cot(arccotx)
当x∈〔—π/2,π/2〕时,有arcsin(sinx)=x
当x∈〔0,π〕,arccos(cosx)=x
x∈(—π/2,π/2),arctan(tanx)=x
x∈(0,π),arccot(cotx)=x x〉0,arctanx=arctan1/x,arccotx类似
若(arctanx+arctany)∈(—π/2,π/2),
则arctanx+arctany=arctan(x+y/1-xy)
































