题文
某物体沿一条直线运动:
(1)若前一半时间内的平均速度为v1,后一半时间内的平均速度为v2,求全程的平均速度;
(2)若前一半位移的平均速度为v1,后一半位移的平均速度为v2,全程的平均速度又是多少?
题型:未知 难度:其他题型
答案
解:(1)设全程所用的时间为t,则由平均速度的定义知
前一半时间内的位移为
后一半时间内的位移为
全程时间t内的位移为
全程的平均速度为
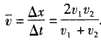
(2)设全程位移为△x,由平均速度定义知
前一半位移所用时间为
后一半位移所用时间为
全程所用时间为
全程的平均速度为
点击查看平均速度和瞬时速度的区别知识点讲解,巩固学习
解析
该题暂无解析
考点
据考高分专家说,试题“某物体沿一条直线运动:(1).....”主要考查你对 [平均速度和瞬时速度的区别 ]考点的理解。
平均速度和瞬时速度的区别
平均速度:
质点在某段时间内的位移与发生这段位移所用时间的比值叫做这段时间(或位移)的平均速度v,即
,平均速度是矢量,其方向跟位移方向相同.平均速度是对变速运动的粗略描述。
瞬时速度:
运动物体在某一时刻(或经过某一位置)的速度,方向沿轨迹上质点所在点的切线方向指向前进的一侧,瞬时速度是对变速运动的精确描述,其大小叫速率。
平均速率:
物体在某段时间内通过的路程l跟通过这段路程所用的时间t的比值,叫做这段路程(或这段时间)的平均速率,即
,它是标量,值得注意的是:它并不是平均速度的大小.
平均速度和瞬时速度对比:
(1)区别:平均速度反映的是物体在整个运动过程中的整体运动情况,而瞬时速度反映的是物体在运动过程的某一时刻或某一位置的运动情况;
(2)联系:在匀速直线运动中,任何时刻的瞬时速度和整个运动过程中的平均速度相同。
方法与知识感悟:
平均速度是反映的某一段运动过程中的平均运动快慢,是这一过程中的位移与时间的比值(
是平均速度的定义式),适用于所有的运动;而适用于匀变速直线运动,但若
,却不能判定该物体做匀变速直线运动.
平均速度的计算:
一辆汽车沿平直公路行驶,先以速度v1通过前的位移,再以速度v2=50km/h通过其余的位移.若整个位移中的平均速度=37.5km/h,则第一段位移内的平均速度是多少?
解:设整段位移为x,通过前位移和后位移
的时间分别为t和t
,根据
是平均速度的定义式),适用于所有的运动;而
适用于匀变速直线运动,但若
,却不能判定该物体做匀变速直线运动.
平均速度的计算:
一辆汽车沿平直公路行驶,先以速度v1通过前的位移,再以速度v2=50km/h通过其余的位移.若整个位移中的平均速度=37.5km/h,则第一段位移内的平均速度是多少?
解:设整段位移为x,通过前位移和后位移
的时间分别为t和t
,根据

得,
,可得
。解得第一段时间位移内的速度
=25km/h。


