题文
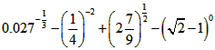
计算下列各式的值:(Ⅰ)

;
(Ⅱ)

; 题型:未知 难度:其他题型
答案
解:(Ⅰ)原式=
-1=

-1=-12;
(Ⅱ)原式=

+0=-2+

+1=-

;
点击查看指数与指数幂的运算(整数、有理、无理)知识点讲解,巩固学习
解析
该题暂无解析
考点
据考高分专家说,试题“计算下列各式的值:(Ⅰ);(.....”主要考查你对 [指数与指数幂的运算(整数、有理、无理) ]考点的理解。 指数与指数幂的运算(整数、有理、无理)n次方根的定义:
一般地,如果xn=a,那么x叫做a的n次方根,其中n>1,且n∈N*。
分数指数幂的意义:
(1)
;
(2)
;
(3)0的正分数指数幂等于0,0的负分数指数幂没有意义。
n次方根的性质:
(1)0的n次方根是0,即
=0(n>1,n∈N*);
(2)
=a(n∈N*);
(3)当n为奇数时,
=a;当n为偶数时,
=|a|。
幂的运算性质:
(1)
;
(2)
;
(3)
;
注意:一般地,无理数指数幂
(a>0,α是无理数)是一个确定的实数,上述有理指数幂的运算性质,对于无理指数幂都适用。


