题文
下列各式中成立的一项[ ] A.![下列各式中成立的一项[ ]A.B.C.D. 下列各式中成立的一项[ ]A.B.C.D.](https://www.mshxw.com/file/tupian/20220126/09521da9625e1cefcef343b528194c7f.png)
B.
![下列各式中成立的一项[ ]A.B.C.D. 下列各式中成立的一项[ ]A.B.C.D.](https://www.mshxw.com/file/tupian/20220126/1984fdaa49ecc70bd2b6e687b091e593.png)
C.
![下列各式中成立的一项[ ]A.B.C.D. 下列各式中成立的一项[ ]A.B.C.D.](https://www.mshxw.com/file/tupian/20220126/08a0ca56fbc5e46e334031358ce8d6d3.png)
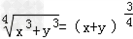
D.
![下列各式中成立的一项[ ]A.B.C.D. 下列各式中成立的一项[ ]A.B.C.D.](https://www.mshxw.com/file/tupian/20220126/3afb0e629bfbd0b411d598bfd9c98264.png)
题型:未知 难度:其他题型
答案
D点击查看指数与指数幂的运算(整数、有理、无理)知识点讲解,巩固学习
解析
该题暂无解析
考点
据考高分专家说,试题“下列各式中成立的一项[ ].....”主要考查你对 [指数与指数幂的运算(整数、有理、无理) ]考点的理解。 指数与指数幂的运算(整数、有理、无理)n次方根的定义:
一般地,如果xn=a,那么x叫做a的n次方根,其中n>1,且n∈N*。
分数指数幂的意义:
(1)![下列各式中成立的一项[ ]A.B.C.D. 下列各式中成立的一项[ ]A.B.C.D.](https://www.mshxw.com/file/tupian/20220126/Fm5uENX6KFKVoLd4SwKl8_Fx69fm.gif)
;
(2)![下列各式中成立的一项[ ]A.B.C.D. 下列各式中成立的一项[ ]A.B.C.D.](https://www.mshxw.com/file/tupian/20220126/FpR33-QiL_jKy5kE0JzGm-ANEWBh.gif)
;
(3)0的正分数指数幂等于0,0的负分数指数幂没有意义。
n次方根的性质:
(1)0的n次方根是0,即![下列各式中成立的一项[ ]A.B.C.D. 下列各式中成立的一项[ ]A.B.C.D.](https://www.mshxw.com/file/tupian/20220126/FpzjLJqW7FaivGYYHVP28_tQB78L.gif)
=0(n>1,n∈N*);
(2)![下列各式中成立的一项[ ]A.B.C.D. 下列各式中成立的一项[ ]A.B.C.D.](https://www.mshxw.com/file/tupian/20220126/20111026162739001.gif)
=a(n∈N*);
(3)当n为奇数时,![下列各式中成立的一项[ ]A.B.C.D. 下列各式中成立的一项[ ]A.B.C.D.](https://www.mshxw.com/file/tupian/20220126/FnFKae0ZCn0Tnx4GxKatFLUKBmOP.gif)
=a;当n为偶数时,![下列各式中成立的一项[ ]A.B.C.D. 下列各式中成立的一项[ ]A.B.C.D.](https://www.mshxw.com/file/tupian/20220126/20111026162820001.gif)
=|a|。
幂的运算性质:
(1)![下列各式中成立的一项[ ]A.B.C.D. 下列各式中成立的一项[ ]A.B.C.D.](https://www.mshxw.com/file/tupian/20220126/FoV5sw_GZ6RhGoMluFGx3Mh_i1oO.gif)
;
(2)![下列各式中成立的一项[ ]A.B.C.D. 下列各式中成立的一项[ ]A.B.C.D.](https://www.mshxw.com/file/tupian/20220126/FsNx2qb3Na21mHYnCgSGGQFpwjF2.gif)
;
(3)![下列各式中成立的一项[ ]A.B.C.D. 下列各式中成立的一项[ ]A.B.C.D.](https://www.mshxw.com/file/tupian/20220126/20111026163157001.gif)
;
注意:一般地,无理数指数幂![下列各式中成立的一项[ ]A.B.C.D. 下列各式中成立的一项[ ]A.B.C.D.](https://www.mshxw.com/file/tupian/20220126/20120828163330849295.png)
(a>0,α是无理数)是一个确定的实数,上述有理指数幂的运算性质,对于无理指数幂都适用。


