题文
设a为实数,函数f(x)=2x2+(x-a)|x-a|,(1)若f(0)≥1,求a的取值范围;
(2)求f(x)的最小值;
(3)设函数h(x)=f(x),x∈(a,+∞),直接写出(不需给出演算步骤)不等式h(x)≥1的解集。 题型:未知 难度:其他题型
答案
解:(1)若
,
则

。
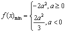
(2)当

时,

,

;
当

时,

,

;
综上,

。
(3)当

,

,

,解集为(a,+∞);
当

,

,解集为

,

,+∞ );
当

,

时,解集为

,+∞ )。
点击查看分段函数与抽象函数知识点讲解,巩固学习
解析
该题暂无解析
考点
据考高分专家说,试题“设a为实数,函数f(x)=2.....”主要考查你对 [分段函数与抽象函数 ]考点的理解。 分段函数与抽象函数分段函数:
1、分段函数:定义域中各段的x与y的对应法则不同,函数式是分两段或几段给出的;
分段函数是一个函数,定义域、值域都是各段的并集。
抽象函数:
我们把没有给出具体解析式的函数称为抽象函数;
一般形式为y=f(x),或许还附有定义域、值域等,如:y=f(x),(x>0,y>0)。
知识点拨:
1、绝对值函数去掉绝对符号后就是分段函数。
2、分段函数中的问题一般是求解析式、反函数、值域或最值,讨论奇偶性单调性等。
3、分段函数的处理方法:分段函数分段研究。


