题文
如图,△OAB是边长为2的正三角形,这个三角形位于直线x=t左边的图形的面积为y,求函数y=f(t)的解析式及其定义域、值域,并作出其图形.
题型:未知 难度:其他题型
答案
解:∵△ABO是正三角形,且边长为2,∴图中各点坐标为A(2,0),B(1,

),D(t,0),
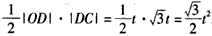
而C点纵坐标yc可以利用Rt△OCD中有一个角∠COD=60°,
而求得yc=

t(0≤t≤1),
而当1<t≤2时,|DA|=2-t,同法yc=

(2-t);
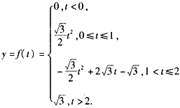
∴当0≤t≤1时,y=f(t)=

;
当1<t≤2时,y=f(t)=S△OAB-S△CDA
=

,
再注意到,当t<0时,显然有y=0,当t>2时,有y=

,
∴

,
此函数的定义域为R,值域为[0,

],图象如图,

。
点击查看分段函数与抽象函数知识点讲解,巩固学习
解析
该题暂无解析
考点
据考高分专家说,试题“如图,△OAB是边长为2的正.....”主要考查你对 [分段函数与抽象函数 ]考点的理解。 分段函数与抽象函数分段函数:
1、分段函数:定义域中各段的x与y的对应法则不同,函数式是分两段或几段给出的;
分段函数是一个函数,定义域、值域都是各段的并集。
抽象函数:
我们把没有给出具体解析式的函数称为抽象函数;
一般形式为y=f(x),或许还附有定义域、值域等,如:y=f(x),(x>0,y>0)。
知识点拨:
1、绝对值函数去掉绝对符号后就是分段函数。
2、分段函数中的问题一般是求解析式、反函数、值域或最值,讨论奇偶性单调性等。
3、分段函数的处理方法:分段函数分段研究。


