题文
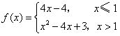
函数![函数的图象和函数g=log2x的图象的交点个数是[ ]A.1B.2C.3D.4 函数的图象和函数g=log2x的图象的交点个数是[ ]A.1B.2C.3D.4](https://www.mshxw.com/file/tupian/20220123/fd07a7244e129e61b22ae9d14bb34bcf.gif)
的图象和函数g(x)=log2x的图象的交点个数是[ ]A.1
B.2
C.3
D.4 题型:未知 难度:其他题型
答案
C点击查看分段函数与抽象函数知识点讲解,巩固学习
解析
该题暂无解析
考点
据考高分专家说,试题“函数的图象和函数g(x)=l.....”主要考查你对 [分段函数与抽象函数 ]考点的理解。 分段函数与抽象函数分段函数:
1、分段函数:定义域中各段的x与y的对应法则不同,函数式是分两段或几段给出的;
分段函数是一个函数,定义域、值域都是各段的并集。
抽象函数:
我们把没有给出具体解析式的函数称为抽象函数;
一般形式为y=f(x),或许还附有定义域、值域等,如:y=f(x),(x>0,y>0)。
知识点拨:
1、绝对值函数去掉绝对符号后就是分段函数。
2、分段函数中的问题一般是求解析式、反函数、值域或最值,讨论奇偶性单调性等。
3、分段函数的处理方法:分段函数分段研究。


