题文
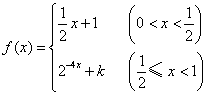
已知函数
在区间(0,1)内连续,且f(c2)=

,
(1)求实数k和c的值;
(2)解不等式f(x)>

+1。 题型:未知 难度:其他题型
答案
解:(1)因为0<c<1,所以
,
由

,即

,
又因为

在

处连续,
所以

,即k=1;
(2)由(1)得:

,
由

得,当

时,解得

;
当

时,解得

;
所以

的解集为

。
点击查看分段函数与抽象函数知识点讲解,巩固学习
解析
该题暂无解析
考点
据考高分专家说,试题“已知函数在区间(0,1)内连.....”主要考查你对 [分段函数与抽象函数 ]考点的理解。 分段函数与抽象函数分段函数:
1、分段函数:定义域中各段的x与y的对应法则不同,函数式是分两段或几段给出的;
分段函数是一个函数,定义域、值域都是各段的并集。
抽象函数:
我们把没有给出具体解析式的函数称为抽象函数;
一般形式为y=f(x),或许还附有定义域、值域等,如:y=f(x),(x>0,y>0)。
知识点拨:
1、绝对值函数去掉绝对符号后就是分段函数。
2、分段函数中的问题一般是求解析式、反函数、值域或最值,讨论奇偶性单调性等。
3、分段函数的处理方法:分段函数分段研究。


