题文
对定义域是Df、Dg的函数y=f(x)、y=g(x),规定:函数

,
(1)若函数f(x)=-2x+3,x≥1,g(x)=x-2,x∈R,写出函数h(x)的解析式;
(2)求问题(1)中函数h(x)的最大值;
(3)若g(x)=f(x+α),其中α是常数,且α∈[0,π],请设计一个定义域为R的函数y=f(x),及一个α的值,使得h(x)=cos4x,并予以证明。 题型:未知 难度:其他题型
答案
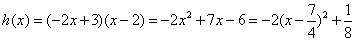
解:(1)
;
(2)当x≥1时,

,
∴

,
当x<1时,h(x)<-1,
∴当

时,h(x)取得最大值

;
(3)令

,
则

,
于是

。
点击查看分段函数与抽象函数知识点讲解,巩固学习
解析
该题暂无解析
考点
据考高分专家说,试题“对定义域是Df、Dg的函数y.....”主要考查你对 [分段函数与抽象函数 ]考点的理解。 分段函数与抽象函数分段函数:
1、分段函数:定义域中各段的x与y的对应法则不同,函数式是分两段或几段给出的;
分段函数是一个函数,定义域、值域都是各段的并集。
抽象函数:
我们把没有给出具体解析式的函数称为抽象函数;
一般形式为y=f(x),或许还附有定义域、值域等,如:y=f(x),(x>0,y>0)。
知识点拨:
1、绝对值函数去掉绝对符号后就是分段函数。
2、分段函数中的问题一般是求解析式、反函数、值域或最值,讨论奇偶性单调性等。
3、分段函数的处理方法:分段函数分段研究。


