题文
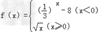
设函数![设函数,若f>1,则实数a的取值范围是[ ]A.B.∪C.D.∪(0,+∞ 设函数,若f>1,则实数a的取值范围是[ ]A.B.∪C.D.∪(0,+∞](https://www.mshxw.com/file/tupian/20220121/55deb279f000917d6f8167ea2500a1da.png)
,若f(a)>1,则实数a的取值范围是[ ]A.(﹣2,1)
B.(﹣∞,﹣2)∪(1,+∞)
C.(1,+∞)
D.(﹣∞,﹣1)∪(0,+∞) 题型:未知 难度:其他题型
答案
B点击查看分段函数与抽象函数知识点讲解,巩固学习
解析
该题暂无解析
考点
据考高分专家说,试题“设函数,若f(a)>1,则实数a的.....”主要考查你对 [分段函数与抽象函数 ]考点的理解。 分段函数与抽象函数分段函数:
1、分段函数:定义域中各段的x与y的对应法则不同,函数式是分两段或几段给出的;
分段函数是一个函数,定义域、值域都是各段的并集。
抽象函数:
我们把没有给出具体解析式的函数称为抽象函数;
一般形式为y=f(x),或许还附有定义域、值域等,如:y=f(x),(x>0,y>0)。
知识点拨:
1、绝对值函数去掉绝对符号后就是分段函数。
2、分段函数中的问题一般是求解析式、反函数、值域或最值,讨论奇偶性单调性等。
3、分段函数的处理方法:分段函数分段研究。


