题文
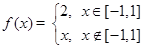
已知函数![已知函数,若f[f(x)]=2,则x的取值范围是A.B.[-1,1]C.(-∞,-1)∪(1,+∞)D.{2}∪[-1,1] 已知函数,若f[f(x)]=2,则x的取值范围是A.B.[-1,1]C.(-∞,-1)∪(1,+∞)D.{2}∪[-1,1]](https://www.mshxw.com/file/tupian/20220113/d64ec0f8c593db7b6b6ebdc881f7fd88.png)
,若f[f(x)]=2,则x的取值范围是A.
![已知函数,若f[f(x)]=2,则x的取值范围是A.B.[-1,1]C.(-∞,-1)∪(1,+∞)D.{2}∪[-1,1] 已知函数,若f[f(x)]=2,则x的取值范围是A.B.[-1,1]C.(-∞,-1)∪(1,+∞)D.{2}∪[-1,1]](https://www.mshxw.com/file/tupian/20220113/50f8f746d663005b78be7df9f2bf1943.png)
B.[-1,1]C.(-∞,-1)∪(1,+∞)D.{2}∪[-1,1] 题型:未知 难度:其他题型
答案
D点击查看分段函数与抽象函数知识点讲解,巩固学习
解析
解:因为![已知函数,若f[f(x)]=2,则x的取值范围是A.B.[-1,1]C.(-∞,-1)∪(1,+∞)D.{2}∪[-1,1] 已知函数,若f[f(x)]=2,则x的取值范围是A.B.[-1,1]C.(-∞,-1)∪(1,+∞)D.{2}∪[-1,1]](https://www.mshxw.com/file/tupian/20220113/d64ec0f8c593db7b6b6ebdc881f7fd88.png)
所以当
![已知函数,若f[f(x)]=2,则x的取值范围是A.B.[-1,1]C.(-∞,-1)∪(1,+∞)D.{2}∪[-1,1] 已知函数,若f[f(x)]=2,则x的取值范围是A.B.[-1,1]C.(-∞,-1)∪(1,+∞)D.{2}∪[-1,1]](https://www.mshxw.com/file/tupian/20220113/cbfb7d64691d1b71b818fecf29729be0.png)
综上可知,故集合为D
考点
据考高分专家说,试题“已知函数,若f[f(x)]=2,则x的取.....”主要考查你对 [分段函数与抽象函数 ]考点的理解。 分段函数与抽象函数分段函数:
1、分段函数:定义域中各段的x与y的对应法则不同,函数式是分两段或几段给出的;
分段函数是一个函数,定义域、值域都是各段的并集。
抽象函数:
我们把没有给出具体解析式的函数称为抽象函数;
一般形式为y=f(x),或许还附有定义域、值域等,如:y=f(x),(x>0,y>0)。
知识点拨:
1、绝对值函数去掉绝对符号后就是分段函数。
2、分段函数中的问题一般是求解析式、反函数、值域或最值,讨论奇偶性单调性等。
3、分段函数的处理方法:分段函数分段研究。


