题文
某同学使用有透光狭缝的钢条和光电计时器的装置测量重力加速度(图1)。在钢条下落过程中,钢条挡住光源发出的光时,计时器开始计时,透光时停止计时,若再次挡光,计时器将重新开始计时。实验中该同学将钢条竖直置于一定高度(下端A高于光控开关),由静止释放,测得先后两段挡光时间t1和t2。
①用游标卡尺测量AB、AC的长度,其中AB的长度如图2所示,其值为 mm
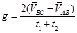
②若狭缝宽度可忽略,则该同学利用
,
求出
和
后,
则重力加速度
题型:未知 难度:其他题型
答案
点击查看实验:用双缝干涉测量光的波长知识点讲解,巩固学习
解析
标卡尺的主尺读数为74mm,游标尺上第3个刻度和主尺上某一刻度对齐,所以游标读数为0.1×3mm=0.3mm,所以最终读数为:74mm+0.3mm=74.3mm.
则该同学利用
,
根据极短时间内的平均速度等于瞬时速度表示钢条运动的中间时刻瞬时速度,重力加速度为
考点
据考高分专家说,试题“某同学使用有透光狭缝的钢条和光电计时器的.....”主要考查你对 [实验:用双缝干涉测量光的波长 ]考点的理解。
实验:用双缝干涉测量光的波长
实验原理:
通过单缝的一束光线,经双缝形成一对相干光,互相叠加产生干涉现象。根据公式可算出波长,d是双缝间距,L是双缝到屏的距离,Δx是相邻两条亮(暗)纹间隔,λ是单色光的波长。
实验步骤:
1、取下遮光筒左侧的元件,调节光源高度,使光束能直接沿遮光筒轴线把屏照亮;
2、按合理顺序在光具座上放置各光学元件,并使各元件的中心位于遮光筒的轴线上;
3、用米尺测量双缝到屏的距离;
4、用测量头(其读数方法同螺旋测微器)测量数条亮纹间的距离;
在操作步骤(2)时还应注意使单缝和双缝间距为5-10cm,使单缝与双缝相互平行。
注意事项:
1、安装仪器的顺序:光源、滤光片、单缝、双缝、遮光筒、光屏。
2、双缝与单缝相互平行,且竖直放置。
3、光源、虑光片、单缝、双缝的中心均在遮光筒的中心轴线上。
4、若出现在光屏上的光很弱,由于不共轴所致。
5、若干涉条纹不清晰,与单缝和双缝是否平行有很大关系。


