题文
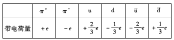
不定项选择已知π+介子、π-介子都是由一个夸克(夸克u或夸克d)和一个反夸克(反夸克
或反夸克
)组成的,它们的带电荷量如下表所示,e为元电荷。下列说法中正确的是( )

组成
B.π+由d和

组成
C.π-由u和

组成
D.π-由d和

组成
题型:未知 难度:其他题型
答案
AD
点击查看粒子和宇宙知识点讲解,巩固学习
解析
该题暂无解析
考点
据考高分专家说,试题“不定项选择.....”主要考查你对 [粒子和宇宙 ]考点的理解。
粒子和宇宙
人类对物质结构的认识:
1、分类
①媒介子:传递相互作用的粒子。如光子(电磁相互作用)、胶子(强相互作用)。
②轻子:不参加强相互作用的粒子。如电子中微子、μ子和μ子中微子、τ子和τ子中微子。
③强子:参加强相互作用的粒子。有质子、中子、介子和超子。
2、夸克模型。
①模型建立:1964年美国物理学家盖尔曼提出了强子的夸克模型
②分类:上夸克、下夸克、奇异夸克、粲夸克、底夸克和顶夸克
③特点:夸克所带的电荷分别为元电荷的
或
,每种夸克都有对应的反夸克
宇宙的两种演化进程:
(1)宇宙演化过程的方框图,每种夸克都有对应的反夸克
宇宙的两种演化进程:
(1)宇宙演化过程的方框图
(2)恒星演化过程的方框图



