题文
设f(x)=x2+ax+b,A={x|f(x)=x}={a},由元素(a,b)构成的集合为M,求M。 题型:未知 难度:其他题型答案
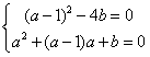
解:由题意知,方程f(x)=x有且仅有一个实数根a,即x2+(a-1)x+b=0仅有一实根a,∴

,解之得:a=

,b=

,
∴M={(

,

)}.
点击查看集合的含义及表示知识点讲解,巩固学习
解析
该题暂无解析
考点
据考高分专家说,试题“设f(x)=x2+ax+b,.....”主要考查你对 [集合的含义及表示 ]考点的理解。 集合的含义及表示集合的概念:
1、集合:一般地我们把一些能够确定的不同对象的全体称为集合(简称集); 集合通常用大写的拉丁字母表示,如A、B、C、……。
元素:集合中每个对象叫做这个集合的元素,元素通常用小写的拉丁字母表示,如a、b、c、……
2、元素与集合的关系:
(1)属于:如果a是集合A的元素,就说a属于A,记作a∈A
(2)不属于:如果a不是集合A的元素,就说a不属于A,记作 3、集合分类根据集合所含元素个属不同,可把集合分为如下几类:
(1)把不含任何元素的集合叫做空集Ф
(2)含有有限个元素的集合叫做有限集
(3)含有无穷个元素的集合叫做无限集
常用数集及其表示方法:
(1)非负整数集(自然数集):全体非负整数的集合.记作N
(2)正整数集:非负整数集内排除0的集.记作N*或N+
(3)整数集:全体整数的集合.记作Z
(4)有理数集:全体有理数的集合.记作Q
(5)实数集:全体实数的集合.记作R
集合中元素的特性:
(1)确定性:给定一个集合,任何对象是不是这个集合的元素是确定的了. 任何一个元素要么属于该集合,要么不属于该集合,二者必具其一。
(2)互异性:集合中的元素一定是不同的.
(3)无序性:集合中的元素没有固定的顺序.
易错点:
(1)自然数集包括数0.
(2)非负整数集内排除0的集.记作N*或N+,Q、Z、R等其它数集内排除0的集,也这样表示,例如,整数集内排除0的集,表示成Z


