题文
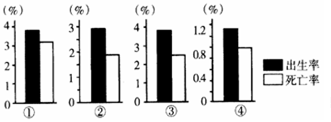
下图是某国从18世纪80年代到20世纪70年代人口生产类型的四个阶段示意图。按人口再生产类型的演变历程,排列正确的是
A.②③④①B.①③②④C.①②③④D.④①②③
题型:未知 难度:其他题型
答案
B
点击查看人口增长模式及转变知识点讲解,巩固学习
解析
注意纵坐标的数值差异是解题的关键,图示①③的人口出生率高,但③的死亡率较低,故根据在历史发展过程中人口出生率不断下降,且在历史发展早期,死亡率也逐渐下降的特征判断,该地区的人口增长模式经历了①③②④的转变。
点评:本题难度一般,学生只要掌握在历史发展过程中人口出生率和死亡率的变化特征判断即可,对于此类试题,学生应加强对课本基础知识的落实。
考点
据考高分专家说,试题“下图是某国从18世纪80年代到20世纪7.....”主要考查你对 [人口增长模式及转变 ]考点的理解。
人口增长模式及转变
人口增长模式:
1、概念:
又称人口在生产类型,反应不同国家和地区人口出生率、死亡率、自然增长率随社会经济条件变化而变化的规律。不同的国家和地区,其人口增长处于不同的阶段,体现了人口增长由高出生率、高死亡率、低自然增长率向低出生率、低死亡率、低自然增长率转变的过程。
2、决定因素:
出生率、死亡率、自然增长率
人口增长的历程:
人口增长的历程:




