题文
已知函数f(x)=
是奇函数,且f(2)=

(1)求实数m,n的值;
(2)判断f(x)在(﹣∞,﹣1)的单调性,并加以证明. 题型:未知 难度:其他题型
答案
(1)解:因为f(x)奇函数.所以有f(﹣x)=﹣f(x)
∴

∴3x+n=3x﹣n
∵n=0∴

∴m=2∴m=2 n=0
(2)f(x)=

在(﹣∞,﹣1)上为增函数.
证明:设x1,x2∈(﹣∞,﹣1)且x1<x2
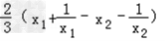
则f(x1)﹣f(x2)=

=

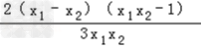
=

∵x1<x2<﹣1
∴x1x2>1,x1﹣x2<0
∴

<0
∴f(x1)﹣f(x2)<0
所以f(x)在(﹣∞,﹣1)的单调增函数.
点击查看函数的奇偶性、周期性知识点讲解,巩固学习
解析
该题暂无解析
考点
据考高分专家说,试题“已知函数f(x)=是奇函数,且f(.....”主要考查你对 [函数的奇偶性、周期性 ]考点的理解。 函数的奇偶性、周期性函数的奇偶性定义:
偶函数:一般地,如果对于函数f(x)的定义域内任意一个x,都有f(-x)=f(x),则称函数f(x)为偶函数。
奇函数:一般地,如果对于函数f(x)的定义域内任意一个x,都有f(-x)=-f(x),那么函数f(x)是奇函数。
函数的周期性:
(1)定义:若T为非零常数,对于定义域内的任一x,使f(x+T)=f(x)恒成立,则f(x)叫做周期函数,T叫做这个函数的一个周期。
周期函数定义域必是无界的。
(2)若T是周期,则k·T(k≠0,k∈Z)也是周期,所有周期中最小的正数叫最小正周期。一般所说的周期是指函数的最小正周期。
周期函数并非都有最小正周期,如常函数f(x)=C。
奇函数与偶函数性质:
(1)奇函数与偶函数的图像的对称性:奇函数的图像关于原点对称,偶函数的图像关于y轴对称。
(3)在公共定义域内,①两个奇函数的和是奇函数,两个奇函数的积是偶函数; ②两个偶函数的和、积是偶函数; ③一个奇函数,一个偶函数的积是奇函数。
注:定义域在数轴上关于原点对称是函数f(x)为奇函数或偶函数的必要但不充分条件.
1、函数是奇函数或偶函数的前提定义域必须关于原点对称;定义域在数轴上关于原点对称是函数f(x)为奇函数或偶函数的必要但不充分条件.
2、函数的周期性 令a , b 均不为零,若:
(1)函数y = f(x) 存在 f(x)=f(x + a) ==> 函数最小正周期 T=|a|
(2)函数y = f(x) 存在f(a + x) = f(b + x) ==> 函数最小正周期 T=|b-a|
(3)函数y = f(x) 存在 f(x) = -f(x + a) ==> 函数最小正周期 T=|2a|
(4)函数y = f(x) 存在 f(x + a) =
==> 函数最小正周期 T=|2a|
(5)函数y = f(x) 存在 f(x + a) = 
==> 函数最小正周期 T=|4a|


