题文
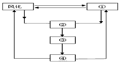
下图是五种外力相互联系、相互影响的示意图,读图回答1—2题。
[ ]
A、①B、②
C、③
D、④ 2、除风化作用外,对地表地貌景观影响较大的外力作用是
[ ]
A、①②B、①③
C、②③
D、③④
题型:未知 难度:其他题型
答案
1、B
2、B
点击查看沉积作用知识点讲解,巩固学习
解析
该题暂无解析
考点
据考高分专家说,试题“下图是五种外力相互联系、相互.....”主要考查你对 [沉积作用 ]考点的理解。
沉积作用
沉积作用:
是指物质被搬运到适宜的场所后,由于条件发生改变而发生沉淀和堆积的过程。
沉积作用的过程实际上包含了剥蚀,搬运和沉积(堆积)三个阶段。
沉积作用示意:
沉积作用形成的地貌形态 分布地区冰川沉积杂乱堆积、形成冰碛地貌冰川分布的高山和高纬度地区流水沉积形成冲积扇(河流出山口)、三角洲(河口)、冲积平原(河流中下游)
河流出山口和中下游(例:黄河三角洲、恒河平原等)风力沉积形成沙丘(静止沙丘、移动沙丘)和沙淇边缘的黄土堆积干早内陆及邻近地区(例:塔克拉玛干沙漠的沙丘、黄土高原的黄土)


![下图是五种外力相互联系、相互影响的示意图,读图回答1—2题。 1、沙尘暴、泥石流属于哪种外力作用?[ ]A、① B、 下图是五种外力相互联系、相互影响的示意图,读图回答1—2题。 1、沙尘暴、泥石流属于哪种外力作用?[ ]A、① B、](https://www.mshxw.com/file/tupian/20211201/7b0fc60a7fd6e62310e4e92f4f74b0c3.gif)
