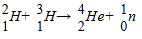
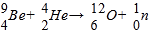
题文
题型:未知 难度:其他题型
答案
B
点击查看天然放射现象知识点讲解,巩固学习
解析
该题暂无解析
考点
据考高分专家说,试题“下列四个方程.....”主要考查你对 [天然放射现象 ]考点的理解。
天然放射现象
天然放射现象:
分离三种射线的方法及辨别三种射线的方法:
(1)根据
三种射线的性质和特点,可利用匀强电场或匀强磁场来分离三种射线。
定性地来讲:用匀强电场分离时,α射线偏离较小,β射线偏离较大,γ射线不偏离;用匀强磁场分离时,α射线偏转半径较大,β射线偏转半径较小,γ射线不偏转
定量地来讲:(1)不论在电场还是磁场中,γ射线总是做匀速直线运动,不发生偏转。(2)在匀强电场中,α粒子和β粒子沿相反方向做类平抛运动,且在同样的条件下,β粒子的偏移大。
(2)如图所示,粒子在电场力方向做初速度为零的匀加速直线运动,位移x可表示为三种射线的性质和特点,可利用匀强电场或匀强磁场来分离三种射线。
定性地来讲:用匀强电场分离时,α射线偏离较小,β射线偏离较大,γ射线不偏离;用匀强磁场分离时,α射线偏转半径较大,β射线偏转半径较小,γ射线不偏转
定量地来讲:(1)不论在电场还是磁场中,γ射线总是做匀速直线运动,不发生偏转。(2)在匀强电场中,α粒子和β粒子沿相反方向做类平抛运动,且在同样的条件下,β粒子的偏移大。
(2)如图所示,粒子在电场力方向做初速度为零的匀加速直线运动,位移x可表示为
所以,在同样条件下β粒子与α粒子偏移之比所以,在同样条件下β粒子与α粒子偏移之比


(3)在匀强磁场中,α粒子和β粒子沿相反方向做匀速圆周运动,且在同样条件下,β粒子的轨道半径小,偏转大。
如图所示,粒子的轨道半径可表示为
所以,在同样条件下β粒子与α粒子轨道半径之比 所以,在同样条件下β粒子与α粒子轨道半径之比

要辨别三种射线时,根据上述径迹特点,即使电场和磁场方向未知,也可以一下就看出射线的种类。在电场或磁场的方向已知时,可由轨迹的弯曲方向判定电场力或洛伦兹力的方向,进而判定粒子的电性,从而确定射线的种类。
核力:
概念组成原子核的相邻核子间的一种特殊作用力特点(1)核力是强相互作用(强力)的一种表现。在它的作用范围内,核力比库仑力大得多(2)核力是短程力,作用范围在之内。核力在大于
时表现为吸引力,且随距离增大而减小,超过
要辨别三种射线时,根据上述径迹特点,即使电场和磁场方向未知,也可以一下就看出射线的种类。在电场或磁场的方向已知时,可由轨迹的弯曲方向判定电场力或洛伦兹力的方向,进而判定粒子的电性,从而确定射线的种类。
核力:
概念组成原子核的相邻核子间的一种特殊作用力特点(1)核力是强相互作用(强力)的一种表现。在它的作用范围内,核力比库仑力大得多(2)核力是短程力,作用范围在之内。核力在大于
时表现为吸引力,且随距离增大而减小,超过

核力急剧下降几乎消失;而在距离小于时,核力表现为斥力,因此核子不会融合在一起(3)每个核子只跟相邻的核子发生核力作用,这种性质称为核力的饱和性备注①因为核子间存在非常强的核力,所以原子核内蕴藏着巨大的能量②在原子核内,除核力外还存在一种弱力,弱力是引起原子核发生β衰变的原因,弱力也是短程力。其力程比强力更短,为10-18m,作用强度则比电磁力小









