题文
题型:未知 难度:其他题型
答案
A
点击查看代数式的概念知识点讲解,巩固学习
解析
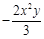
单项式中数字因数叫做单项式的系数,所有字母的指数和叫做这个单项式的次数.单项式定义得:单项式
的系数是-
,次数是2+1=3,
∴m=-
,n=3,
mn=-
×3=-2.
故选A.
考点
据考高分专家说,试题“若单项式的系数是,次数是,则的值为()A.....”主要考查你对 [代数式的概念 ]考点的理解。
代数式的概念
代数式:
由数和表示数的字母经有限次加、减、乘、除、乘方和开方等代数运算所得的式子,或含有字母的数学表达式称为代数式。
单独一个数和字母也是代数式。
例如:ax+2b,-2/3,b^2/26,√a+√2等。
代数式的性质:
(1)单独一个数或一个字母也是代数式,如-3,a.
(2)代数式中只能有运算符号,不应含有等于号(=、≡)、不等号(≠、≤、≥、<、>、≮、≯)、约等号≈,也就是说,等式或不等式不是代数式,但代数式中可以含有括号。 可以有绝对值。例如:|x|,|-2.25| 等。
(3)代数式中的字母表示的数必须使这个代数式有意义,即在实际问题中,字母表示的数要符合实际问题。
代数式的分类:
在实数范围内,代数式分为有理式和无理式。
一、有理式
有理式包括整式(除数中没有字母的有理式)和分式(除数中有字母且除数不为0的有理式)。
这种代数式中对于字母只进行有限次加、减、乘、除和整数次乘方这些运算.
整式有包括单项式(数字或字母的乘积或单独的一个数字或字母)和多项式(若干个单项式的和).
1.单项式
没有加减运算的整式叫做单项式。
单项式的系数:单项式中的数字因数叫做单项式(或字母因数)的数字系数,简称系数
单项式的次数:一个单项式中,所有字母的指数的和叫做这个单项式的次数
2.多项式
个单项式的代数和叫做多项式;多项式中每个单项式叫做多项式的项。不含字母的项叫做常数项。
多项式的次数:多项式里,次数最高的项的次数,就是这个多项式的次数。
齐次多项式:各项次数相同的多项式叫做齐次多项式。
不可约多项式:次数大于零的有理系数的多项式,不能分解为两个次数大于零的有理数系数多项式的乘积时,称为有理数范围内不可约多项式。
实数范围内不可约多项式是一次或某些二次多项式,复数范同内不可约多项式是一次多项式。
对称多项式:在多元多项式中,如果任意两个元互相交换所得的结果都和原式相同,则称此多项式是关于这些元的对称多项式。
同类项:多项式中含有相同的字母,并且相同字母的指数也分别相同的项叫做同类项。
二、无理式
含有字母的根式或字母的非整数次乘方的代数式叫做无理式。
代数式的书写:
(1)两字母相乘、数字与字母相乘、字母与括号相乘以及括号与括号相乘时,乘号都可以省略不写.如:“x与y的积”可以写成“xy”;“a与2的积”应写成“2a”,“m、n的和的2倍”应写成“2(m+n)”。
(2)字母与数字相乘或数字与括号相乘时,乘号可省略不写,但数字必须写在前面.例如“x×2”要写成”2x”,不能写成“x2”;“长、宽分别为a、b的长方形的周长”要写成“2(a+b)”,不能写成“(a+b)2”。
(3)代数式中不能出现除号,相除关系要写成分数的形式
(4)数字与数字相乘时,乘号(也可以写作 · )仍应保留不能省略,或直接计算出结果.例如“3×7xy”不能写成“37xy”,最好写成“21xy”。
代数式的产生:
产生在古代,当算术里积累了大量的,关于各种数量问题的解法后,为了寻求有系统的、更普遍的方法,以解决各种数量关系的问题,就产生了以解方程的原理为中心问题的初等代数。
代数是由算术演变来的,这是毫无疑问的。至于什么年代产生的代数学这门学科,就很不容易说清楚了。比如,如果你认为“代数学”是指解bx+k=0这类用符号表示的方程的技巧。那么,这种“代数学”是在十六世纪才发展起来的。
如果我们对代数符号不是要求象现在这样简练,那么,代数学的产生可上溯到更早的年代。西方人将公元前三世纪古希腊数学家刁藩都看作是代数学的鼻祖。而在中国,用文字来表达的代数问题出现的就更早了。
“代数”作为一个数学专有名词、代表一门数学分支在我国正式使用,最早是在1859年。那年,清代数学家里李善兰和英国人韦列亚力共同翻译了英国人棣么甘所写的一本书,译本的名称就叫做《代数学》。当然,代数的内容和方法,我国古代早就产生了,比如《九章算术》中就有方程问题。
初等代数的中心内容是解方程,因而长期以来都把代数学理解成方程的科学,数学家们也把主要精力集中在方程的研究上。它的研究方法是高度计算性的。
要讨论方程,首先遇到的一个问题是如何把实际中的数量关系组成代数式,然后根据等量关系列出方程。所以初等代数的一个重要内容就是代数式。由于事物中的数量关系的不同,大体上初等代数形成了整式、分式和根式这三大类代数式。代数式是数的化身,因而在代数中,它们都可以进行四则运算,服从基本运算定律,而且还可以进行乘方和开方两种新的运算。通常把这六种运算叫做代数运算,以区别于只包含四种运算的算术运算。
在初等代数的产生和发展的过程中,通过解方程的研究,也促进了数的概念的进一步发展,将算术中讨论的整数和分数的概念扩充到有理数的范围,使数包括正负整数、正负分数和零。这是初等代数的又一重要内容,就是数的概念的扩充。
有了有理数,初等代数能解决的问题就大大的扩充了。但是,有些方程在有理数范围内仍然没有解。于是,数的概念在一次扩充到了实数,进而又进一步扩充到了复数。
那么到了复数范围内是不是仍然有方程没有解,还必须把复数再进行扩展呢?数学家们说:不用了。这就是代数里的一个著名的定理—代数基本定理。这个定理简单地说就是n次方程有n个根。1742年12月15日瑞士数学家欧拉曾在一封信中明确地做了陈述,后来另一个数学家、德国的高斯在1799年给出了严格的证明。










