题文
填一填:
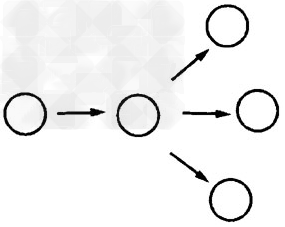
请根据下图所示,在圆圈内填上合适的字,组成我国4个省级行政中心的名称。
题型:未知 难度:其他题型
答案
济南;南京;南昌;南宁。
点击查看中国的行政区划知识点讲解,巩固学习
解析
该题暂无解析
考点
据考高分专家说,试题“填一填:请根据下图所示,在圆.....”主要考查你对 [中国的行政区划 ]考点的理解。
中国的行政区划
三级行政区:
我国疆域辽阔,为了便于行政管理,有利于经济发展和民族团结,全国的行政区域,基本分为省(自治区、直辖市、特别行政区)、县(自治县、市)、乡(镇)三级,我国拥有34个省级行政区(包括23个省、4个直辖市、5个自治区和香港、澳门特别行政区)。
直辖市:
直辖市属于省级行政单位,中国最为重要的城市级别。截至2012年1月31日,中华人民共和国共有省、自治区、直辖市以及特别行政区4种省级行政单位,其中,共有4个直辖市:北京市、上海市、天津市、重庆市。中国的直辖市与省、自治区、特别行政区一样均为最高一级行政单位,因此行政地位与省相同;但是管辖区域与地级市相同,管辖区、县、自治县等。直辖市往往需要较多的居住人口,且通常在全国的政治、经济和文化等各方面上具有重要地位。
自治区:
自治区是一种行政区划名称。在我国成立初期对民族自治地方统称为自治区;1954年中华人民共和国宪法规定,分自治区、自治州和自治县(自治旗)三级。自治区的行政地位相当于省,为中国最高一级行政区——省级行政区。自治区的设置是从中国的具体国情出发的,是中华人民共和国统一行使主权的地方行政区域,是中国神圣不可分割的一部分,受中央人民政府管辖,与国家的关系是地方与中央的关系,不具有独立主权的性质,它们的实施都有利于国家经济的发展,有利于祖国和平统一,有利于巩固中国人民民主专政的国家政权。我国共有五个自治区,分别是内蒙古,新疆,西藏,广西,宁夏。
特别行政区:
特别行政区是指根据宪法规定,在中华人民共和国行政区域范围内设立的,享有特殊法律地位、实行资本主义制度和资本主义生活方式的地方行政区域。特别行政区是我国为以和平方式解决历史遗留下来的香港问题、澳门问题和台湾问题而设立的特殊的地方行政区域。特别行政区的设立,有助于维持香港与澳门的繁荣和稳定。我国的两大特别行政区是香港和澳门。
根据地名特点的记忆方法:
两湖两广两河山,五江云贵福吉安。四西二宁海甘陕,港澳内台渝北天。
经济区划分法:
三大经济区
1.东部地区:北京市(京)、天津市(津)、河北省(冀)、辽宁省(辽)、上海市(沪)、江苏省(苏)、浙江省(浙)、福建省(闽)、山东省(鲁)、广东省(粤)、海南省(琼)、香港特别行政区(港)、澳门特别行政区(澳)、台湾省(台),共14个省、市、区。
2.中部地区:山西省(晋)、吉林省(吉)、黑龙江省(黑)、安徽省(皖)、江西省(赣)、河南省(豫)、湖北省(鄂)、湖南省(湘),共8个省、市、区。
3.西部地区:内蒙古自治区(内蒙古)、广西壮族自治区(桂)、重庆市(渝)、四川省(川或蜀)、贵州省(贵或黔)、云南省(云或滇)、西藏自治区(藏)、陕西省(陕或秦)、甘肃省(甘或陇)、青海省(青)、宁夏回族自治区(宁)、新疆维吾尔自治区(新),共12个省、市、区。
大区划分方法:
华东、华北、华南、华中、东北、西南、西北七大区的地理分布的说法,具体如下:华北(北京、天津、河北、山西、内蒙)、华东(上海、山东、江苏、安徽、江西、浙江、福建)、华中(湖北、湖南、河南)、华南(广东、广西、海南、香港、澳门)、西南(重庆、四川、贵州、云南、西藏)、西北(陕西、甘肃、宁夏、新疆、青海)、东北(黑龙江、吉林、辽宁)。(省以下行政区划单位统计不包括台湾)。
我国行政区划的标准:
行政区划 是国家根据政治和行政管理的需要,根据有关法律规定,充分考虑经济联系、地理条件、气候条件、民族分布、历史传统、风俗习惯、地区差异、人口密度等客观因素,将全国的地域划分为若干层次大小不同的行政区域,设置相应的地方国家机关,实施行政管理。行政区划以国家或次级地方在特定的区域内建立一定形式、具有层次唯一性的政权机关为标志。行政区划因不同的国家结构形式而不同。






