题文
用代入法解方程组
有以下步骤:
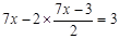
①:由⑴,得
⑶ ②:由⑶代入⑴,得
③:整理得 3=3 ④:∴
可取一切有理数,原方程组有无数个解
以上解法,造成错误的一步是( )A.①B.②C.③D.④
题型:未知 难度:其他题型
答案
B
点击查看不等式的性质知识点讲解,巩固学习
解析

由⑴,得
⑶
由⑶代入(2),得
得
所以本题中造成错误的一步是②
考点
据考高分专家说,试题“用代入法解方程组有以下步骤:①:由⑴,得.....”主要考查你对 [不等式的性质 ]考点的理解。
不等式的性质
不等式的性质:
1、不等式的基本性质:
不等式性质1:不等式的两边同时加上(或减去)同一个数(或式子),不等号的方向不变。即如果a>b,那么a±c>b±c。
不等式性质2:不等式的两边同时乘(或除以)同一个正数,不等号的方向不变。即如果a>b,c>0,那么ac>bc(或
)。
不等式性质3:不等式的两边同时乘(或除以)同一个负数,不等号的方向改变。即如果a>b,c<0,那么ac
2、不等式的互逆性:若a>b,则b3、不等式的传递性:若a>b,b>c,则a>c。
不等式的性质:
①如果x>y,那么y
②如果x>y,y>z;那么x>z;(传递性)
③如果x>y,而z为任意实数或整式,那么x+z>y+z;(加法原则,或叫同向不等式可加性)
④ 如果x>y,z>0,那么xz>yz;如果x>y,z<0,那么xz
⑦如果x>y>0,m>n>0,那么xm>yn;
⑧如果x>y>0,那么x的n次幂>y的n次幂(n为正数),x的n次幂
①对称性;
②传递性:
③加法单调性:即同向不等式可加性:
④乘法单调性:
⑤同向正值不等式可乘性:
⑥正值不等式可乘方:
⑦正值不等式可开方:
⑧倒数法则。
不等式的基本性质和等式的基本性质的异同:
①相同点:无论是等式还是不等式,都可以在它的两边加(或减)同一个数或同一个整式;
②不同点:对于等式来说,在等式的两边乘(或除以)同一个正数(或同一个负数),等式仍然成立,但是对于不等式来说,却不大一样,在不等式的两边乘(或除以)同一个正数,不等号的方向不变,而在不等式的两边乘(或除以)同一个负数,不等号要改变方向。
原理:
①不等式F(x)< G(x)与不等式 G(x)>F(x)同解。
②如果不等式F(x) < G(x)的定义域被解析式H( x )的定义域所包含,那么不等式 F(x)
④不等式F(x)G(x)>0与不等式同解;不等式F(x)G(x)<0与不等式同解。


