题文
题型:未知 难度:其他题型
答案
解:(1)原式=0;
(2)原式=1 ;
(3)原式= -1 ;
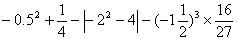
(4)原式=-6
解析
该题暂无解析
考点
据考高分专家说,试题“计算: (1) (2)(3).....”主要考查你对 [有理数的加减混合运算 ]考点的理解。
有理数的加减混合运算
有理数的加减运算顺序:
同级运算从左往右(从左往右算)
异级运算先二后一(先算二级运算,再算一级运算,×、 ÷为二级,+、 -为一级)
有括号的先里后外(先算括号里的,再算括号外的)
有理数加减混合运算的步骤:
(1)把减法转化为加法,写成省略加号和括号的形式;
(2)应用加法的交换律与结合律,简化运算;
(3)求出结果。
有理数加减混合运算:
有理数加法运算总是涉及两个方面:一方面是确定结果的符号,另一方面是求结果的绝对值。
法则:
(一)同号两数相加,取相同的符号,并把绝对值相加。
(二)异号两数相加,绝对值相等时和为0,绝对值不等时,取绝对值较大数的符号,并用较大的绝对值减去较小的绝对值。
(三)一个数同0相加,仍得这个数。
步骤:
①减法化加法
②省略加号和括号
③运用加法法则,加法运算律进行简便运算。
有理数减法法则:
减去一个数,等于加上这个数的相反数。
注:
在运用减法法则时,注意两个符号的变化,
一是运算符号,减号变成加号,
二是性质符号,减数变成它的相反数。
有理数的加减混合运算加减混合运算可以通过减法法则,将减法化加法,统一为加法运算。






